Foram encontradas 40 questões.
“O planejamento está previsto pela Lei de Diretrizes e Bases da Educação (LDB – Lei nº 9.394 de 1996), como sendo ‘responsabilidade da instituição de ensino, junto com seu corpo docente, que, por sua vez, tem como incumbência não só ministrar os dias letivos e horas-aula estabelecidas, mas também participar de forma integral dos períodos dedicados ao planejamento, além de participar da elaboração da proposta pedagógica do estabelecimento de ensino a qual ele pertença’.”
(BRASIL, 1996, P. 6.)
Acerca do exposto e, ainda, considerando dois importantes documentos de planejamento escolar: o Projeto Político- -Pedagógico (PPP) e a Proposta Pedagógica Curricular (PPC), analise as premissas que tratam da relação entre ambos.
I. O PPP norteia o trabalho educativo proposto pela instituição de ensino como um todo, trazendo, no seu marco operacional, a PPC que expressa a forma como as concepções assumidas coletivamente serão efetivadas na prática pedagógica.
II. A PPC expressa os fundamentos conceituais, metodológicos e avaliativos de cada componente curricular ou área do conhecimento, elencados na matriz curricular. O PPP estabelece diretrizes básicas de funcionamento e de organização da escola, sempre integradas às normas comuns da rede ou do sistema a que pertence e do sistema nacional.
III. A base para a elaboração da PPC é a matriz curricular, com sua parte de Base Nacional Comum e de Parte Diversificada e/ou Flexível. O PPP tem, em sua estrutura, os encaminhamentos metodológicos, os recursos didáticos, os instrumentos e os critérios de avaliação docentes.
Está correto o que se afirma em
Provas
“Em um ensino tradicional, baseado na transmissão de conteúdo, o estudante tem uma postura passiva diante dos processos de ensino e de aprendizagem, tendo a função de receber e absorver uma quantidade enorme de informações apresentadas pelo docente. Muitas vezes, não há espaço para o estudante se manifestar e se posicionar de forma crítica. Em oposição a isso, ao desenvolver práticas pedagógicas norteadas pela metodologia ativa, o estudante passa a assumir uma postura ativa, exercitando uma atitude crítica e construtiva, que fará dele um profissional melhor preparado.”
(Berbel, 2011; Souza; Iglesias; Pazin-Filho, 2014.)
Com base na citação e, ainda, considerando o desenvolvimento da autonomia e motivação dos alunos, pode-se inferir que o professor deve:
I. Usar linguagem formal.
II. Nutrir os recursos motivacionais internos.
III. Oferecer explicações racionais para o estudo de determinado conteúdo.
IV. Regulamentar o tempo e o ritmo de aprendizagem dos alunos.
V. Reconhecer e aceitar as expressões de sentimentos negativos dos alunos.
Estão corretas apenas as ações
Provas
A aprendizagem significativa instaura novamente na escola uma condição fundamental de nossa busca de conhecimento. Essa condição é a do desejo, ou seja, do conhecimento como necessidade, algo que “falta ser”, que ainda não é nos termos pretendidos ou aceitos pelo sujeito. No contexto da competência relacional, isso é interessante porque o desejo instaura-se como busca e como complementaridade. A busca supõe a devoção daquele que deseja, isto é, trabalho, compromisso, responsabilidade. Complementaridade supõe sair dos limites de onde se encontra e incluir um outro todo como parte. Marías analisa essa questão no plano do jogo, como forma de ilusão. Ou seja, o que anima os adversários em um jogo é a mesma ilusão: vencer. Essa ilusão corresponde ao que se chama de “desejo com argumento”, ou seja, como falta traduzida em ações de busca, dirigidas por um objetivo ou finalidade, ações que são reguladas por essa meta a ser alcançada. Daí a dupla condição para competência relacional: desejo e devoção. Desejo como fim ou direção. Devoção como meio ou instrumento. Ou, como quer a sabedoria popular: “quem ama, cuida”.
Desejo e devoção são cognitivos e afetivos ao mesmo tempo. Cognitivos porque supõem uma formulação, uma pergunta, hipótese ou proposição. Porque supõem construção de recursos, tomadas de decisão, avaliação reguladora etc. Afetivos porque supõem um querer, supõem a atribuição de uma significação pessoal, no sentido de que algo ainda não é para um sujeito, mas “deve” ser.
A aprendizagem significativa supõe que se encontre “eco” no sujeito a quem é proposta. Daí sua vinculação com uma forma relacional de competência. A aprendizagem significativa é uma das condições defendidas por Piaget para um método pedagógico ser construtivo. Significativa porque expressa essa categoria da paixão: deixar-se, como sujeito a ser atravessado por um objeto; por isso, estar envolvido, interessado, ativo, em tudo o que corresponde a sua assimilação. Por isso, Piaget, ao menos com as crianças, era muito crítico ao que chamava de “verbalismo da sala de aula”. O verbalismo refere-se às exposições orais (explicações) para crianças sobre temas que as excluem por sua natureza formal, conceptual, adulta. A consequência disso, não raro, é a presença de crianças apáticas, desinteressadas, passivas, ou, então, agitadas, indisciplinadas e pouco cooperativas. As mesmas exposições com adultos podem ser positivas, pois esses possuem mais recursos cognitivos para relacionarem-se com essa forma de linguagem. Ou seja, um adulto, mesmo que só escutando, tem recursos de pensamento para manter um “diálogo” ativo (anota, faz associações, concorda etc.) com o assunto que está sendo exposto.
(Lino de Macedo. Competências e
Habilidades: Elementos para uma Reflexão Pedagógica. Disponível em: http://portal.inep.gov.br. Fragmento.)
Considerando a realidade dos textos digitais e multimodais, de acordo com Roxane Rojo – mestre e doutora em Linguística Aplicada – a escola precisa “reestruturar seus processos de ensino-aprendizagem às novas configurações que se apresentam no mundo contemporâneo e globalizado e [...] tomar para si a tarefa de trabalhar com esses novos modos de ver/sentir/agir e de significar o mundo e a realidade social”. A afirmativa anterior, em relação ao tema explorado no texto em análise, pode ser vista como:
Provas
A aprendizagem significativa instaura novamente na escola uma condição fundamental de nossa busca de conhecimento. Essa condição é a do desejoa, ou seja, do conhecimento como necessidade, algo que “falta ser”, que ainda não é nos termos pretendidos ou aceitosb pelo sujeito. No contexto da competência relacional, isso é interessante porque o desejo instaura-se como busca e como complementaridade. A busca supõe a devoção daquele que deseja, isto é, trabalho, compromisso, responsabilidade. Complementaridade supõe sair dos limites de onde se encontra e incluir um outro todo como parte. Marías analisa essa questão no plano do jogo, como forma de ilusão. Ou seja, o que anima os adversários em um jogo é a mesma ilusão: vencer. Essa ilusão corresponde ao que se chama de “desejo com argumento”, ou seja, como falta traduzida em ações de busca, dirigidas por um objetivo ou finalidade, ações que são reguladas por essa meta a ser alcançada. Daí a dupla condição para competência relacional: desejo e devoção. Desejo como fim ou direção. Devoção como meio ou instrumento. Ou, como quer a sabedoria popular: “quem ama, cuida”.
Desejo e devoção são cognitivos e afetivos ao mesmo tempo. Cognitivos porque supõem uma formulação, uma pergunta, hipótese ou proposição. Porque supõem construção de recursos, tomadas de decisão, avaliação reguladora etc. Afetivos porque supõem um querer, supõem a atribuição de uma significação pessoal, no sentido de que algo ainda não é para um sujeito, mas “deve” ser.
A aprendizagem significativa supõe que se encontre “eco” no sujeito a quem é propostac. Daí sua vinculação com uma forma relacional de competência. A aprendizagem significativa é uma das condições defendidas por Piaget para um método pedagógico ser construtivo. Significativa porque expressa essa categoria da paixão: deixar-se, como sujeito a ser atravessado por um objeto; por isso, estar envolvido, interessado, ativo, em tudo o que corresponde a sua assimilação. Por isso, Piaget, ao menos com as crianças, era muito crítico ao que chamava de “verbalismo da sala de aula”. O verbalismo refere-se às exposições orais (explicações) para crianças sobre temas que as excluem por sua natureza formal, conceptual, adulta. A consequência disso, não raro, é a presença de crianças apáticas, desinteressadas, passivasd, ou, então, agitadas, indisciplinadas e pouco cooperativas. As mesmas exposições com adultos podem ser positivas, pois esses possuem mais recursos cognitivos para relacionarem-se com essa forma de linguagem. Ou seja, um adulto, mesmo que só escutando, tem recursos de pensamento para manter um “diálogo” ativo (anota, faz associações, concorda etc.) com o assunto que está sendo exposto.
(Lino de Macedo. Competências e
Habilidades: Elementos para uma Reflexão Pedagógica. Disponível em: http://portal.inep.gov.br. Fragmento.)
Em relação ao emprego das regras de concordância de acordo com a gramática oficial, assinale a afirmativa correta.
Provas
A aprendizagem significativa instaura novamente na escola uma condição fundamental de nossa busca de conhecimento. Essa condição é a do desejo, ou seja, do conhecimento como necessidade, algo que “falta ser”, que ainda não é nos termos pretendidos ou aceitos pelo sujeito. No contexto da competência relacional, isso é interessante porque o desejo instaura-se como busca e como complementaridade. A busca supõe a devoção daquele que deseja, isto é, trabalho, compromisso, responsabilidade. Complementaridade supõe sair dos limites de onde se encontra e incluir um outro todo como parte. Marías analisa essa questão no plano do jogo, como forma de ilusão. Ou seja, o que anima os adversários em um jogo é a mesma ilusão: vencer. Essa ilusão corresponde ao que se chama de “desejo com argumento”, ou seja, como falta traduzida em ações de busca, dirigidas por um objetivo ou finalidade, ações que são reguladas por essa meta a ser alcançada. Daí a dupla condição para competência relacional: desejo e devoção. Desejo como fim ou direção. Devoção como meio ou instrumento. Ou, como quer a sabedoria popular: “quem ama, cuida”.
Desejo e devoção são cognitivos e afetivos ao mesmo tempo. Cognitivos porque supõem uma formulação, uma pergunta, hipótese ou proposição. Porque supõem construção de recursos, tomadas de decisão, avaliação reguladora etc. Afetivos porque supõem um querer, supõem a atribuição de uma significação pessoal, no sentido de que algo ainda não é para um sujeito, mas “deve” ser.
A aprendizagem significativa supõe que se encontre “eco” no sujeito a quem é proposta. Daí sua vinculação com uma forma relacional de competência. A aprendizagem significativa é uma das condições defendidas por Piaget para um método pedagógico ser construtivo. Significativa porque expressa essa categoria da paixão: deixar-se, como sujeito a ser atravessado por um objeto; por isso, estar envolvido, interessado, ativo, em tudo o que corresponde a sua assimilação. Por isso, Piaget, ao menos com as crianças, era muito crítico ao que chamava de “verbalismo da sala de aula”. O verbalismo refere-se às exposições orais (explicações) para crianças sobre temas que as excluem por sua natureza formal, conceptual, adulta. A consequência disso, não raro, é a presença de crianças apáticas, desinteressadas, passivas, ou, então, agitadas, indisciplinadas e pouco cooperativas. As mesmas exposições com adultos podem ser positivas, pois esses possuem mais recursos cognitivos para relacionarem-se com essa forma de linguagem. Ou seja, um adulto, mesmo que só escutando, tem recursos de pensamento para manter um “diálogo” ativo (anota, faz associações, concorda etc.) com o assunto que está sendo exposto.
(Lino de Macedo. Competências e
Habilidades: Elementos para uma Reflexão Pedagógica. Disponível em: http://portal.inep.gov.br. Fragmento.)
Considerando as ideias e informações trazidas ao texto, pode-se afirmar que:
Provas
O pentadeca-2,5-dieno é um hidrocarboneto insaturado que pode ser utilizado como material de partida para obtenção de produtos químicos mais complexos. Em relação à fórmula estrutural deste composto, assinale a afirmativa correta.
Provas
A equação química a seguir representa uma reação elementar:
A(g) + B(g) !$ \rightarrow !$ AB (g)
Considere que ela ocorre em um sistema fechado sob temperatura controlada. Assim, é INCORRETO afirmar que:
Provas
A Teoria de Brönsted-Lowry pode ser utilizada para explicar o comportamento dos ácidos e das bases. A equação genérica do processo de ionização de três ácidos fracos (HA) em solução aquosa e seus valores das constantes de ionização (Ka) está representada a seguir:
Diante do exposto, analise as afirmativas a seguir.
| !$ HA_{(aq)} + H_2 O \rightleftharpoons H_3 O^+_{(aq)} + A^-_{(aq)} !$ | |
| Ácido | Ka(a 25 ºC) |
| HF | 6,7 x 10– 4 |
| NH4+ | 5,7 x 10–10 |
| HS– | 1,0 x 10–14 |
I. F-; NH3; e, S2– são, respectivamente, as bases conjugadas de Brönsted-Lowry dos ácidos HF; NH4+; e, HS–.
II. O ácido fluorídrico tem uma maior tendência em reagir com o íon hidrogenossulfeto do que com o íon amônio.
III. A água é uma espécie anfiprótica e atua como uma base na equação de equilíbrio.
IV. Entre as bases conjugadas de Brönsted-Lowry, o íon sulfeto que apresenta a maior afinidade por próton.
Está correto o que se afirma em
Provas
Duas amostras (5g) de ferro metálico (uma delas em raspa e a outra em pó) foram adicionadas, respectivamente, nos recipientes A e B. Em cada um dos recipientes foi adicionado 50 mL de solução de ácido clorídrico (5 mol L–1). Os recipientes foram fechados; o volume de gás hidrogênio liberado durante a reação entre o ferro e o ácido clorídrico foi monitorado em ambos. Assinale a alternativa, cujo gráfico representa o volume (v) de gás hidrogênio produzido em função do tempo (t) de reação.
Provas
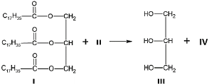
Levando em consideração a equação química, analise as afirmativas a seguir.

I. A reação do composto I com etanol em meio ácido é utilizada para se obter compostos sulfônicos.
II. Aquecendo-se o composto I com hidróxido de sódio, em condições apropriadas, o produto IV apresentará uma parte hidrofílica e outra hidrofóbica.
III. O composto I é um anidrido – constituinte químico presente em óleos essenciais.
IV. A reação pode ser utilizada para a obtenção de biodiesel, caso o composto II seja o álcool metílico.
Está correto o que se afirma apenas em
Provas
Caderno Container