Magna Concursos

Foram encontradas 460 questões.

3588963 Ano: 2007
Disciplina: Estatística
Banca: ESAF
Orgão: SEFAZ-CE

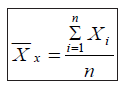
A média aritmética discreta de uma população qualquer é dada pela seguinte formulação:

 

Provas

Questão presente nas seguintes provas
3588962 Ano: 2007
Disciplina: Direito Empresarial (Comercial)
Banca: ESAF
Orgão: SEFAZ-CE
Provas:

No tocante à sociedade limitada,

 

Provas

Questão presente nas seguintes provas
3588961 Ano: 2007
Disciplina: Direito Financeiro
Banca: ESAF
Orgão: SEFAZ-CE

Haja vista a Lei de Responsabilidade Fiscal, o projeto de lei orçamentária, além da compatibilidade com o plano plurianual e a lei de diretrizes orçamentárias, deverá obedecer a diversas diretrizes, entre as quais não se inclui

 

Provas

Questão presente nas seguintes provas
3588960 Ano: 2007
Disciplina: TI - Redes de Computadores
Banca: ESAF
Orgão: SEFAZ-CE
Provas:

Em termos de sistemas distribuídos e redes, analise as afirmações a seguir e assinale a opção correta.

I - Compartilhamento de recursos, aumento da velocidade de computação, confiabilidade e comunicação são os principais fatores para a criação de sistemas distribuídos.

II - Em redes parcialmente conectadas, as mensagens devem ser roteadas através de enlaces de comunicação, resultando em um custo total de comunicação menor que em redes totalmente conectadas.

III - O roteamento de mensagens pode acontecer nos sistemas distribuídos, de três formas: roteamento fixo, roteamento virtual – usando rota fixa durante uma sessão; e roteamento dinâmico – com rotas estabelecidas antes do envio das mensagens.

IV - Em sistemas distribuídos, é possível usar a técnica de prevenção de deadlock por ordenação de recursos, atribuindo números exclusivos aos recursos, que podem ser, assim, acessados por processos. Um processo que deseja obter um recurso "i", somente o fará se não estiver mantendo um outro recurso com número exclusivo menor que "i".

V - Em sistemas em cluster estruturados de modo simétrico, existe o papel de uma máquina operando como hot-standby, cuja função é monitorar o servidor ativo no cluster.

 

Provas

Questão presente nas seguintes provas
3588959 Ano: 2007
Disciplina: Direito Constitucional
Banca: ESAF
Orgão: SEFAZ-CE

A Constituição Federal de 1988 incumbiu determinada espécie normativa de dispor especificamente sobre matérias de interesse dos Estados-Membros e do Distrito Federal, tais como a fixação de alíquotas mínimas e máximas do ICMS nas operações internas, e também de fixar alíquotas máximas do ITCMD. A espécie normativa que cuida dessas matérias é:

 

Provas

Questão presente nas seguintes provas
3588958 Ano: 2007
Disciplina: TI - Ciência de Dados e BI
Banca: ESAF
Orgão: SEFAZ-CE
Analise as seguintes afirmações relacionadas a conceitos básicos de segurança da informação e à gestão da informação e do conhecimento.

I. Por definição, os dados em um Data Warehouse são voláteis, ou seja, eles mudam, salvo quando é necessário fazer recuperação de backups previamente armazenados. Os dados ficam disponíveis para leitura e escrita, podendo ser alterados, desde que com informações mais recentes.

II. Data Mining ou mineração de dados é o recurso usado para criar visões dos dados por meio de sua reorganização, de forma que eles possam ser examinados sob diferentes perspectivas.

III. Um Data Warehouse pode armazenar grandes quantidades de informação, às vezes divididas em unidades lógicas menores que são chamadas de Data Marts. O esquema de dados mais utilizado é o "Star Schema" (Esquema Estrela), também conhecido como Modelagem Multidimensional.

IV. O conceito Metadado é considerado como sendo os "dados sobre dados", isto é, os dados sobre os sistemas que operam com estes dados. Um repositório de metadados é uma ferramenta essencial para o gerenciamento de um Data Warehouse no momento de converter dados em informações para o negócio.

Indique a opção que contenha todas as afirmações verdadeiras.

 

Provas

Questão presente nas seguintes provas
3588957 Ano: 2007
Disciplina: Direito Administrativo
Banca: ESAF
Orgão: SEFAZ-CE
Provas:

São exemplos da aplicação do princípio da impessoalidade, exceto

 

Provas

Questão presente nas seguintes provas
3588956 Ano: 2007
Disciplina: Legislação Tributária Estadual
Banca: ESAF
Orgão: SEFAZ-CE
Provas:
O estabelecimento X, responsável pela retenção e recolhimento do ICMS nas operações subseqüentes, efetuou venda de mercadoria para o estabelecimento Y, situado no mesmo Estado. A margem de agregação (lucro) para o referido produto é de 20%. Sabendo que o valor total da operação foi de R$ 30.000,00, assinale a opção que indica o valor do ICMS a ser retido por X.
 

Provas

Questão presente nas seguintes provas
3588955 Ano: 2007
Disciplina: Economia
Banca: ESAF
Orgão: SEFAZ-CE

Para a divisão dos encargos entre as esferas governamentais é necessário pensar em critérios orientadores, como por exemplo, o critério de escalas. Identifique qual o tipo de escala que busca encontrar a solução organizacional mais eficiente para a prestação de serviços públicos nas esferas de governo.

 

Provas

Questão presente nas seguintes provas
3588954 Ano: 2007
Disciplina: TI - Sistemas Operacionais
Banca: ESAF
Orgão: SEFAZ-CE
Provas:

Sistemas operacionais são responsáveis pelo controle e alocação de recursos de hardware/software para a resolução de problemas dos usuários finais. Em termos de sistemas operacionais corporativos e de redes é correto afirmar que

 

Provas

Questão presente nas seguintes provas