Foram encontradas 439 questões.
- RPPS: Regimes Próprios de Previdência SocialLei 9.796/1999: Compensação Financeira entre Regimes Previdenciários
Para a contagem recíproca de tempo de contribuição das atividades públicas e privadas, segundo seus regimes previdenciários, qual das alternativas abaixo NÃO corresponde às regras que dispõe sobre a matéria?
Provas
Internet Explorer é um
Provas
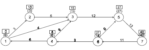
Instruções: Para responder à questão considere a figura e os dados abaixo.
A figura representa uma rede PERT de eventos.


i , j = eventos
teij = duração de atividade
TE = data mais cedo
TL = data mais tarde
O Caminho Crítico é
Provas
Na execução de crédito de pequeno valor contra a Fazenda Pública, assim definido com base no art. 87 do ADCT, é procedimento juridicamente correto
Provas
As dotações orçamentárias para pagamento dos precatórios, nos termos do parágrafo 2º do art. 100 da CF, são consignadas ao
Provas
Verificado, ao final do bimestre, que a realização da receita poderá não comportar o cumprimento das metas de resultado primário ou nominal estabelecidas no Anexo de Metas Fiscais, os Poderes e o Ministério Público promoverão, nos trinta dias subseqüentes a limitação de empenho, nos termos da lei de diretrizes orçamentárias. NÃO pode ser objeto de limitação
Provas
Na utilização da equipe técnica, segundo as Normas Profissionais do Auditor Interno há o pressuposto de razoável segurança quando, como requerido nas circunstâncias, venha a ser composta pelo menos por pessoas com
Provas
O cimento de alto-forno, fabricado com adição de escória de alto-forno siderúrgico, NÃO é recomendado para concreto
Provas
No processo de julgamento das contas dos administradores e demais responsáveis por dinheiros, bens e valores públicos da administração direta e indireta o Tribunal de Contas do Piauí
Provas
Se a Conta Corrente do Balanço de Pagamentos de um país for superavitária, isto implica que
Provas
Caderno Container