Foram encontradas 564 questões.
554078
Ano: 2014
Disciplina: Segurança e Saúde no Trabalho (SST)
Banca: FADESP
Orgão: Pref. Parauapebas-PA
Disciplina: Segurança e Saúde no Trabalho (SST)
Banca: FADESP
Orgão: Pref. Parauapebas-PA
O PPRA é parte integrante do conjunto mais amplo das iniciativas da empresa no campo da preservação da saúde e da integridade dos trabalhadores, devendo estar articulado com o disposto nas demais NR, em especial com o Programa de Controle Médico de Saúde Ocupacional – PCMSO previsto na NR-7. Assim, considerando que o PPRA tem como objetivo a preservação da saúde e da integridade dos trabalhadores, segundo a NR 9, este objetivo será alçando mediante
Provas
Questão presente nas seguintes provas
553583
Ano: 2014
Disciplina: Administração Financeira e Orçamentária
Banca: FADESP
Orgão: Pref. Parauapebas-PA
Disciplina: Administração Financeira e Orçamentária
Banca: FADESP
Orgão: Pref. Parauapebas-PA
Provas:
A etapa considerada a última etapa do ciclo orçamentário, caracterizada por ações de controle interno e externo, é definida como
Provas
Questão presente nas seguintes provas
O senhor José Alcântara, de 42 anos, trabalhava diariamente em local onde havia exposição a agentes químicos. Após 8 anos de serviço no mesmo setor, começou a apresentar problemas respiratórios, devido à inalação de partículas no ambiente de trabalho. Tendo sido constatada a doença ocupacional, o médico informou ao seu José que a quantidade total de contaminante absorvido por via respiratória deve-se a(ao, à)
Provas
Questão presente nas seguintes provas
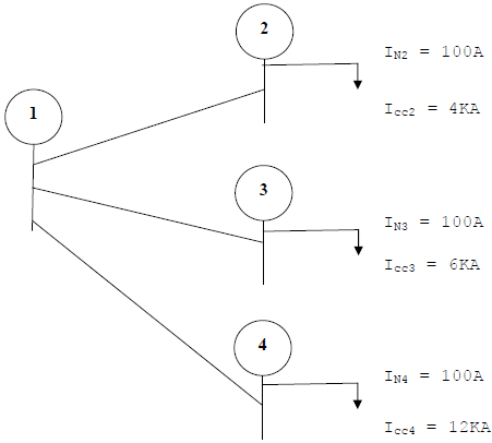
A rede elétrica a seguir funciona em 60 HZ e é constituída de quatro barras, sendo que a barra 1 é de onde é fornecida a alimentação para as outras barras. Todas as linhas de interligações entre as barras são trifásicas e constituídas de cabos de cobre isolados. Cada linha é protegida por disjuntor automático operado por relé com tempo de atuação ajustado para um segundo para eliminação de um curto circuito. Considerando-se as tabelas fornecidas, a solução técnica e econômica para as linhas que interligam as barras 1-2, 1-3, e 1-4, nesta ordem, é

AMPACIDADE DE CABOS – LINHA TRIFÁSICA


Provas
Questão presente nas seguintes provas
J. J. Rousseau conceitua a soberania como
Provas
Questão presente nas seguintes provas
No exame admissional para técnico de enfermagem de uma clínica de hemodiálise, as sorologias que correspondem a imunidade pós-vacinal ao vírus da hepatite B são
Provas
Questão presente nas seguintes provas
552518
Ano: 2014
Disciplina: Atualidades e Conhecimentos Gerais
Banca: FADESP
Orgão: Pref. Parauapebas-PA
Disciplina: Atualidades e Conhecimentos Gerais
Banca: FADESP
Orgão: Pref. Parauapebas-PA
Provas:
Recentemente, um deputado federal do Rio Grande do Sul formalizou uma representação para que sejam investigados mais de 6 mil brasileiros proprietários de contas secretas em um banco no exterior, cujas quantias depositadas podem chegar a US$ 7 bilhões, o equivalente a quase 20 bilhões de reais.
O referido banco fica na(s)
Provas
Questão presente nas seguintes provas
Tomando por base os termos da Lei Municipal nº 4.231, de 26 de abril de 2002, que dispõe sobre o Estatuto dos Servidores Públicos do Município de Parauapebas e dá outras providências, assinale a única alternativa correta que completa as lacunas na questão abaixo:
______________ é o deslocamento de servidor estável para cargo do quadro de pessoal de outra entidade da Administração Municipal, no âmbito do mesmo poder.
Provas
Questão presente nas seguintes provas
Tomando por base os termos da Lei Municipal nº 4.231, de 26 de abril de 2002, que dispõe sobre o Estatuto dos Servidores Públicos do Município de Parauapebas e dá outras providências, assinale na questão abaixo, a única alternativa correta.
Por motivo de doença do cônjuge ou companheiro, dos pais, dos filhos, do padrasto ou madrasta e enteado, ou dependente que viva as suas expensas e que conste do seu assentamento funcional, poderá ser concedida licença ao Servidor mediante comprovação por junta médica oficial, sem prejuízo de remuneração do cargo efetivo, pelo prazo de __________ dias, prorrogável por igual período, mediante parecer de junta médica oficial.
Quantidade de dias que completa corretamente a lacuna:
Provas
Questão presente nas seguintes provas
552421
Ano: 2014
Disciplina: Legislação Estadual e Distrital
Banca: FADESP
Orgão: Pref. Parauapebas-PA
Disciplina: Legislação Estadual e Distrital
Banca: FADESP
Orgão: Pref. Parauapebas-PA
Provas:
Tomando por base os termos da Lei Municipal nº 4.231, de 26 de abril de 2002, que dispõe sobre o Estatuto dos Servidores Públicos do Município de Parauapebas e dá outras providências, assinale na questão abaixo, a única alternativa correta.
O pagamento das férias do servidor será efetuado até _________ dia(s) antes do início do respectivo período de gozo.
Provas
Questão presente nas seguintes provas
Cadernos
Caderno Container