Foram encontradas 450 questões.
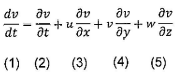
Considere os termos enumerados em ordem crescente, da esquerda para direita (1, 2, 3,4 e 5) da equação abaixo.

Analise as seguintes afirmativas referentes à equação apresentada acima e assinale a opção correta.
I - No estado estacionário, o termo 2 é nulo.
Il - Cada um dos termos tem unidades de força por unidade de massa.
III - O termo 1 é chamado de derivada local.
IV - Os termos 3, 4 e 5 são chamados de advectivos.
Provas
Considerando o disposto no artigo 30 do decreto nº 7.724/2012, alterado pelo decreto nº 11.527/2023, quanto à competência para classificação da informação, é correto afirmar que:
Provas
Conforme a lei nº 10.216/2001, que dispõe sobre a proteção e os direitos das pessoas portadoras de transtornos mentais e redireciona o modelo assistencial em saúde mental, é correto afirmar que:
Provas
Em relação à lei nº 12.527/2011, coloque V (verdadeiro) ou F (falso) nas afirmativas abaixo e, em seguida, assinale a opção que apresenta a sequência correta.
( ) Subordinam-se à lei nº 12,527/2011 os órgãos públicos integrantes da administração direta dos Poderes Executivo, Legislativo (incluindo as Cortes de Contas) e Judiciário e do Ministério Público, as autarquias, as fundações públicas, as empresas públicas, as sociedades de economia mista e demais entidades controladas direta ou indiretamente pela União, Estados, Distrito Federal a Municípios.
( ) Os procedimentos previstos na lei nº 12.527/2011 destinam-se a assegurar o direito fundamental de acesso à informação e devem ser executados em conformidade com os princípios básicos da administração pública, sendo a observância do sigilo como preceito geral e da publicidade como exceção uma de suas diretrizes.
( ) O órgão ou entidade pública deverá autorizar ou conceder o acesso imediato à informação disponível, no entanto, não sendo possível conceder o acesso imediato, o órgão ou entidade que receber o pedido deverá, em prazo não superior a 20 (vinte) dias, prorrogáveis por mais 20 (vinte) dias, mediante justificativa expressa, dando ciência ao requerente.
( ) Negado o acesso à informação pela Controladoria-Geral da União, poderá ser interposto recurso à Comissão Mista de Reavaliação de Informações.
( ) A Comissão Mista de Reavaliação de Informações tem competência para prorrogar o prazo de sigilo de informação classificada como ultrassecreta, que tem prazo determinado, quantas vezes forem necessárias.
Provas
De acordo com a NORMAM-221/DPC que estabelece procedimentos específicos sobre a atividade de Inspeção Naval, é considerado estado de embriaguez aquele em que o condutor da embarcação esteja sob a influência de álcool, fora dos limites estabelecidos, ou de qualquer substância entorpecente ou tóxica. Para fins de aplicação de procedimentos administrativos, será considerado em estado de embriaguez aquele condutor, que após realizado o teste de alcoolemia, for constatada uma concentração igual ou superior a:
Provas
De acordo com Zabala e Arnau (2014), estabelecer vínculos substanciais e não arbitrários entre os novos conteúdos e os conhecimentos prévios é uma tarefa difícil, quase sempre é mais fácil aprender por memorização, de forma mecânica, uma definição, um texto ou uma fórmula matemática, do que compreendê-las em todo seu significado. Para que a aprendizagem seja produzida, é indispensável o papel ativo e protagonista do aluno. É necessário que o aluno desenvolva uma atividade mental que possibilite a reelaboração de seus esquemas de conhecimento, processo no qual tem especial relevância um conceito formulado por Piaget, por meio do qual o aluno questiona suas ideias, como passo prévio à construção de significados. Segundo os autores supracitados, tal conceito denomina-se:
Provas
No contexto do conceito de endereçamento em classes, qual é a máscara padrão de rede associada a cada uma das classes A, B e C, respectivamente?
Provas
Conforme Corrêa (2022), sobre os fatores de risco ao suicídio, é correto afirmar que:
Provas
Segundo o livro À Fazenda Pública em Juizo (CUNHA, 2020), “a prescrição serve à segurança e à paz pública, sendo um limite temporal à eficácia das pretensões e das ações". Acerca do tema prescrição e pretensões formuladas em face da Fazenda Pública abordado no referido livro, na legislação vigente, bem como no entendimento dos Tribunais Superiores, assinale a opção INCORRETA.
Provas
De acordo com Bueno e Ricarte (in LINS e BORSA, 2017), no que se refere ao processo de avaliação psicológica, assinale a opção correta.
Provas
Caderno Container