Foram encontradas 1.765 questões.
Provas
Provas
Provas
Provas
- Lógica ProposicionalEquivalências Lógicas
- Lógica ProposicionalNegação de Proposições CompostasLeis de De Morgan
Provas
Provas
Assinale as afirmações VERDADEIRAS com (V) e FALSAS com (F), relativas à função y = f(x) descrita pelo gráfico a seguir:

Assinale a alternativa que contém a sequência CORRETA de cima para baixo.
Provas
Classifique as afirmações como verdadeiras ou falsas.
I) Se a matriz A é inversível e 1 é autovalor para A, então 1 também é autovalor para A⁻1 .
II) Se a matriz A contém uma linha ou uma coluna de zeros, então 0 (zero) é um autovalor para A.
III) Dois autovetores distintos são linearmente independentes.
IV) Se a matriz A é diagonalizável, então os autovetores de A são linearmente independentes.
As seguintes afirmações são VERDADEIRAS:
Provas
Provas
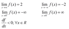
Considere a função Cotangente Hiperbólica f(x) = coth(x). A respeito do comportamento da função f(x) sabe-se que:

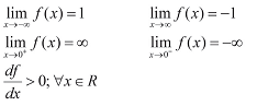
Transformando a função f(x) para: g(x) = coth(– x + 2), quais serão as alteração no comportamento da função?
Provas
Caderno Container