Magna Concursos

Foram encontradas 50 questões.

2649969 Ano: 2017
Disciplina: Direito Educacional e Tecnológico
Banca: IFB
Orgão: IFB
Provas:
Com relação à estrutura organizacional dos Institutos Federais, prevista na Lei nº 11.892/08, é CORRETO afirmar que:
 

Provas

Questão presente nas seguintes provas
406092 Ano: 2017
Disciplina: Pedagogia
Banca: IFB
Orgão: IFB
Provas:
No que concerne aos níveis e modalidades de educação e ensino, previstos na Lei nº 9394/96, pode-se afirmar que:
 

Provas

Questão presente nas seguintes provas
405326 Ano: 2017
Disciplina: Direito Administrativo
Banca: IFB
Orgão: IFB
Provas:
Com base nas afirmativas acerca da Administração Pública Federal, marque (V) para as VERDADEIRAS e (F) para as FALSAS.
( ) A Administração Pública Direta e Indireta deve considerar na prática dos atos administrativos os princípios da legalidade, pessoalidade, moralidade, publicidade e eficiência. ( ) O servidor público estável perderá o cargo em virtude de sentença penal condenatória. ( ) Se um servidor público estável tiver seu cargo extinto, ficará em disponibilidade e terá garantida remuneração até seu adequado aproveitamento em outro cargo. ( ) Como condição para a aquisição da estabilidade, o servidor público poderá ter que se submeter a avaliação de desempenho. ( ) Sem prejuízo da ação penal cabível, os atos de improbidade administrativa acarretarão na suspensão dos direitos políticos, na perda da função pública, na indisponibilidade dos bens e no ressarcimento ao erário.
 

Provas

Questão presente nas seguintes provas
405325 Ano: 2017
Disciplina: Direito Administrativo
Banca: IFB
Orgão: IFB
Provas:
Pode-se afirmar, a partir da Lei nº 8112/90:
 

Provas

Questão presente nas seguintes provas
405297 Ano: 2017
Disciplina: Direito Educacional e Tecnológico
Banca: IFB
Orgão: IFB
Provas:
Com base na Lei nº 11.892/08, assinale a alternativa CORRETA:
 

Provas

Questão presente nas seguintes provas
405270 Ano: 2017
Disciplina: Matemática
Banca: IFB
Orgão: IFB
Em um condomínio fechado de casas com 130 moradias, está sendo contratado um serviço de construção civil para melhoria de cada residência, conforme o interesse do proprietário. A empresa que executará o serviço cobrará de cada morador que resolver executar a melhoria, R$700,00 mais R$10,00 por cada morador que não realizar o serviço. A empresa precisa executar tal serviço em quantas casas para obter a arrecadação máxima?
 

Provas

Questão presente nas seguintes provas
405269 Ano: 2017
Disciplina: Matemática
Banca: IFB
Orgão: IFB

A respeito de uma função contínua, julgue se verdadeiras ou falsas as seguintes afirmações:

I) Uma função não pode ter duas assíntotas horizontais distintas.

II) Se f for diferenciável em a, então f é contínua em a.

III) Se f é derivável em a, então |f | também é derivável.

A(s) seguinte(s) afirmação(ões) é(são) VERDADEIRA(S):

 

Provas

Questão presente nas seguintes provas
405268 Ano: 2017
Disciplina: Matemática
Banca: IFB
Orgão: IFB

Dadas as afirmações:

I) A propriedade tg (x)sen (x) + cos (x) = sec (x) é verdadeira.

II) A funçãoEnunciado 405268-1é sempre crescente.

III) Os valores de x que satisfazem a equação 3cos (2x) = 0 são dados por, kπ/2 + π/4 , ∀kZ.

A(s) seguinte(s) afirmação(ões) é(são) VERDADEIRA(S):

 

Provas

Questão presente nas seguintes provas
405267 Ano: 2017
Disciplina: Matemática
Banca: IFB
Orgão: IFB

Sobre matrizes classifique as afirmações como verdadeiras ou falsas.

I) Multiplicar uma matriz B, à esquerda, por uma matriz diagonal A, tem o efeito de multiplicar as linhas por constantes.

II) Se AB = 0, então A = 0 ou B = 0.

III) Se AB = BA e se A é inversível, então A−1B = BA−1.

IV) Se A e B são matrizes quadradas inversíveis, então AB é inversível e (AB)−1 = A−1B−1.

As seguintes afirmações são VERDADEIRAS:

 

Provas

Questão presente nas seguintes provas
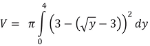
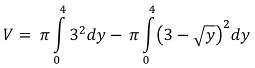
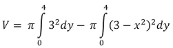
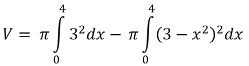
405266 Ano: 2017
Disciplina: Matemática
Banca: IFB
Orgão: IFB

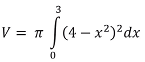
A ideia da produção de peças utilizando tornos, matematicamente consiste em utilizar sólidos de revolução a partir de uma região R em um plano em torno de um eixo. Para projetar a produção de uma peça é necessário o cálculo do volume do sólido de revolução. Então, se R é uma região do plano delimitado pelas equações:

y = x2 , y = 4 e x = 0

ao rotacionar R em torno do eixo x = 3 é obtido um sólido de revolução.

É CORRETO afirmar que o volume é dado por

(dica: um estratégia útil é o método dos “arruelas”):

 

Provas

Questão presente nas seguintes provas