Foram encontradas 1.765 questões.
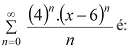
O raio de convergência da série 
Provas
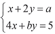
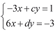
Determine:
I) a e b de modo que o sistema
contenha infinitas soluções;
II) c e d de modo que o sistema
não tenha solução.
Provas
1. “Não veio – só parti eu.” 2 “Minh’alma que lá só vive”
Identifique a alternativa em que as palavras em destaque estão analisadas adequadamente:
Provas
Provas
- SintaxeTermos Integrantes da Oração
- MorfologiaConjunçõesRelações de Causa e Consequência
- MorfologiaPreposições
- MorfologiaVerbos
Para responder à questão, leia este poema de Manoel de Barros:
No descomeço era o verbo.
Só depois é que veio o delírio do verbo.
O delírio do verbo estava no começo, lá
onde a criança diz: Eu escuto a cor dos
passarinhos.
A criança não sabe que o verbo escutar não
funciona para cor, mas para som.
Então se a criança muda a função de um
verbo, ele delira.
E pois.
Em poesia que é voz de poeta, que é a voz
de fazer nascimentos
O verbo tem que pegar delírio.
(BARROS, Manoel de. Poesia completa. São Paulo: Leya, 2010.)
Provas
Caderno Container