Magna Concursos

Foram encontradas 1.765 questões.

405825 Ano: 2017
Disciplina: Química
Banca: IFB
Orgão: IFB
Provas:
Uma pilha de concentração foi construída a partir de um compartimento contendo uma lâmina de níquel metálico imersa em uma solução de 1,00 mol L-1 de Ni2+ (aq). O outro compartimento também consiste em um eletrodo de Ni(s), mas imerso em uma solução de 1,00 x 10-3 mol L-1 de Ni2+. Os compartimentos estão conectados por um fio externo com um voltímetro e por uma ponte salina. Sabendo que:
Ni2+(aq) + 2e- enunciado 405825-1 Ni(s) Eredº = -0,28V
A tensão teórica gerada por essa pilha é:
Questão Anulada

Provas

Questão presente nas seguintes provas
405729 Ano: 2017
Disciplina: Música
Banca: IFB
Orgão: IFB
Provas:
A notação musical é um sistema de sinais utilizado para representação gráfica dos sons musicais. Indique a resposta que representa a CORRETA relação dos símbolos com suas denominações.
Enunciado 405729-1
Indique a alternativa CORRETA:
Questão Anulada

Provas

Questão presente nas seguintes provas
405622 Ano: 2017
Disciplina: Contabilidade de Custos
Banca: IFB
Orgão: IFB
De acordo com Bruni (2012), o comportamento dos custos em relação ao volume permite analisar seu comportamento em relação a diferentes volumes de produção. Com relação a este tema, assinale a afirmação ERRADA.
Questão Anulada

Provas

Questão presente nas seguintes provas
405617 Ano: 2017
Disciplina: Contabilidade de Custos
Banca: IFB
Orgão: IFB
Determinada empresa fabrica somente um tipo de produto cujo custo variável unitário é de R$ 20. O mesmo produto é vendido pelo dobro do valor de custo. A empresa possui ainda custos fixos anuais de R$ 1.000. Qual deverá ser o volume de vendas anuais, em unidades, para que a empresa tenha um lucro de 30% sobre o valor das vendas?
Questão Anulada

Provas

Questão presente nas seguintes provas
405613 Ano: 2017
Disciplina: Contabilidade de Custos
Banca: IFB
Orgão: IFB

Alguns dados contábeis das Indústrias RST estão exibidos a seguir:

Enunciado 405613-1

Com base nos dados contábeis apresentados, o Custo de Transformação para o volume total produzido no período foi de:

Questão Anulada

Provas

Questão presente nas seguintes provas
405608 Ano: 2017
Disciplina: Contabilidade de Custos
Banca: IFB
Orgão: IFB
A Companhia XYZ apresentou no ano de 2016 Custos Variáveis unitários de R$ 20,00 e Custos Fixos Totais de 210.000. O volume de produção do período foi 6.000 unidades e as vendas de produtos foi de 5.000 unidades. Analisando as despesas da companhia no período, encontrou-se que as Despesas Fixas totais somaram R$ 60.000 e as Despesas Variáveis foram de R$ 5,00 por unidade. Sabendo-se que o Preço de Venda do produto foi de R$ 120,00 elabore o Demonstrativo do Resultado do Exercício (DRE) pelos métodos do Custeio Variável e do Custeio por Absorção, e, com base nos resultados dos demonstrativos, assinale a alternativa CORRETA.
Questão Anulada

Provas

Questão presente nas seguintes provas
405481 Ano: 2017
Disciplina: Engenharia Elétrica
Banca: IFB
Orgão: IFB

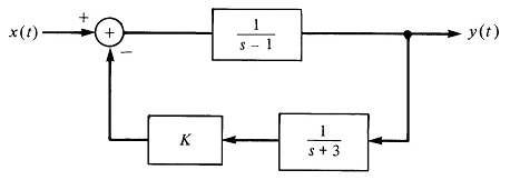
Considerando o seguinte sistema realimentado

Enunciado 405481-1

Para quais valores de K o sistema será criticamente amortecido?

Questão Anulada

Provas

Questão presente nas seguintes provas
405475 Ano: 2017
Disciplina: Engenharia Elétrica
Banca: IFB
Orgão: IFB

Qual o valor da tensão VGS para o circuito abaixo? O ponto de trabalho do circuito é ID = 2mA e VDS = 5V. Adote VG = 3V, VP = -4V, IDSS = 10mA.

Enunciado 405475-1

Questão Anulada

Provas

Questão presente nas seguintes provas
405471 Ano: 2017
Disciplina: Engenharia Elétrica
Banca: IFB
Orgão: IFB

Enunciado 405471-1

Ainda considerando K=15, a resposta do sistema para uma entrada degrau unitário é:
Questão Anulada

Provas

Questão presente nas seguintes provas
405466 Ano: 2017
Disciplina: Engenharia Elétrica
Banca: IFB
Orgão: IFB

O sistema dinâmico descrito pela equação Enunciado 405466-1 é instável. Deseja-se estabilizá-lo utilizando um controle por realimentação no espaço de estados do tipo u(t)= -Kx(t). Se os polos desejados para o sistema estável são -5 e -6, a matriz de ganhos K é igual a:

Questão Anulada

Provas

Questão presente nas seguintes provas