Foram encontradas 50 questões.
Provas
Provas
Provas

Provas
Qual é o erro em regime permanente do sistema de controle a seguir se o controlador utilizado for um do tipo Proporcional-Integral (PI) com constantes KP = 12, KI = 2, e a entrada for do tipo degrau?

Provas
No o circuito da figura a seguir o transistor é de silício, possui um ganho β = 100 e está polarizado na região ativa. Sabendo que VCC = 12V, Vi = 4V, RB = 330kΩ e RC = 9kΩ qual é o valor de V0 ?

Provas

Provas
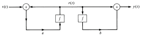
Considere o sistema apresentado abaixo. Suponha a=1 e b=2.

Determine a função de transferência do sistema. Este sistema é assintoticamente estável, marginalmente estável ou instável?
Provas
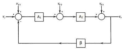
A realimentação negativa pode ser utilizada para reduzir a sensibilidade do sistema para certos tipos de distúrbios. Este tipo de vantagem é ilustrado na figura a seguir, que apresenta um sistema com 3 tipos distintos de distúrbios aplicados ao sistema. O distúrbio Vd1 é aplicado ao sistema junto com o sinal de entrada e está relacionado ao ruído associado ao próprio sinal de entrada. O distúrbio Vd2 é aplicado em um ponto médio do sistema e pode estar relacionado ao uma filtragem incorreta feita ao sinal proveniente da etapa inicial. Já o distúrbio Vd3 é aplicado na saída do sistema e pode estar relacionado com as mudanças da carga. Assim, analise, através da equação que relaciona Vo com Vi, A1 , A2 e β, se efeitos de distúrbio (Vd1, Vd2 e Vd3) serão reduzidos por conta da realimentação negativa. Considere que os ganhos de malha aberta A1 e A2 possuem valores muito altos e que β seja igual a 1.

Provas
O circuito da figura a seguir apresenta um voltímetro analógico, no qual a medida lida no amperímetro é diretamente proporcional à tensão de entrada Vi. A resistência R2 corresponde à resistência do medidor e R1 corresponde à resistência da fonte de tensão da entrada. Considerando o amp. op. ideal, calcule o valor de R de tal forma que 1 mA lido corresponda a uma entrada Vi = 10 V.

Provas
Caderno Container