Foram encontradas 50 questões.
Considere o gráfico da função f(x) abaixo:

A respeito dessa função podemos afirmar que:
I) f '(x)> 0 em ( -∞, 1), f '(x)< 0 em (1 ,∞)
f "(x) > 0 em ( -∞ , -2) e (2, ∞), f " (x)< 0 em (-2, 2).
II) f '(x)> 0 em ( -∞, 1), f '(x)< 0 em (1 ,∞)

III) f "(x)> 0 em ( -∞, 1), f "(x)< 0 em (1 ,∞)
f '(x) > 0 em ( -∞ , -2) e (2, ∞), f ' (x)< 0 em (-2, 2).
IV) 
As seguintes afirmações são VERDADEIRAS:
Provas
Como relação a derivada e integral, avalie se as afirmações abaixo são falsas ou verdadeiras.
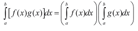
I) Se f e g forem contínuas em [a,b], então:

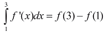
II) Se f'(x) for contínua em [1,3], então:

III) Se uma função é contínua em todos os pontos ela é derivável em todos os pontos.
IV) É possível construir uma função que não seja derivável em 0, porém com a integral de – 1 a 1 dessa função exista.
As seguintes afirmações são VERDADEIRAS:
Provas
Provas
Provas
Provas
Provas
Provas
Provas
Provas
Considerando uma elipse com centro na origem, focos num dos eixos coordenados e passando pelos pontos (5, 0) e (0, 13), determine os focos da elipse.
Provas
Caderno Container