Foram encontradas 50 questões.
Provas
Provas
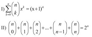
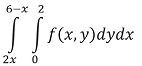
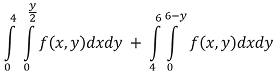
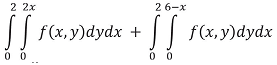
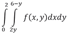
A região de integração dada pela integral dupla
é a mesma de qual
das integrais a seguir:
Provas
Provas
As funções senoides por serem periódicas são muito utilizadas nos cálculos de movimentos
de marés, movimentos de pêndulos, sinais de ondas sonoras e luminosas, etc. A função
representa o movimento de maré de uma localidade na região norte do
Brasil. Em relação à função dada, assinale as afirmações dadas a seguir como VERDADEIRAS
com (V) ou FALSAS com (F).
( ) É uma função periódica e seu período é 2π.
( ) Sua imagem é o intervalo [−1,1].
( ) O domínio é o conjunto dos números reais.
( ) É uma função periódica e seu período é π.
( ) Se anula em infinitos valores para x.
Assinale a alternativa que contém a sequência CORRETA de cima para baixo.
Provas
Provas
Um arquiteto está gerenciando uma obra em uma grande cidade turística e verificou
no projeto que precisava construir uma cobertura modelada matematicamente pela função
. É importantíssimo que ele conheça a representação geométrica
desta função, para saber se a obra ficará harmônica. Dessa forma, foi necessário executar alguns
cálculos para saber qual a superfície representada por esta função. Após fazer os cálculos,
o arquiteto concluiu que esta função representa:
Provas
Provas
Dadas as sentenças:

III) Existem mais possibilidade de escolher 5 números distintos entre os números inteiros de 1 a 60 do que escolher 55 números distintos entre os inteiros de 1 a 60.
A(s) seguinte(s) afirmação(ões) é(são) VERDADEIRA(S):
Provas
Assinale as afirmações VERDADEIRAS com (V) e FALSAS com (F), relativas à função 
( ) Tem uma assíntota vertical em x = 4.
( ) Tem uma descontinuidade infinita em x=1.
( ) Tem uma assíntota horizontal em y = 2.
( ) Tem uma assíntota vertical em x = 1.
( ) Não tem assíntotas horizontais.
Assinale a alternativa que contém a sequência CORRETA de cima para baixo.
Provas
Caderno Container