Foram encontradas 50 questões.
Provas
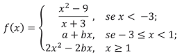
Em relação à função y = f(x), dada que:

pode-se afirmar que:
Provas
Em jogos de computadores é muito comum o uso de transformações lineares para fazer animações em imagens. Tranformações muito comuns nestes jogos são rotações, dilatações e compressões nas suas imagens.
Considere que R e D são transformações lineares definidas no R2 tais que :
R: gira cada vetor do R2 de um ângulo α = 60° no sentido anti-horário;
D: dilata cada vetor do R2 de um fator igual a 3.
Seja w o vetor do plano obtido a partir da rotação R executada sobre o vetor v = (√3, 1), seguida da dilatação D, isto é, w = D(R(v)), o vetor w é igual a:
Provas
Provas
Assinale as afirmações VERDADEIRAS com (V) e FALSAS com (F), relativas à função y = f(x) descrita pelo gráfico a seguir:

Assinale a alternativa que contém a sequência CORRETA de cima para baixo.
Provas
Classifique as afirmações como verdadeiras ou falsas.
I) Se a matriz A é inversível e 1 é autovalor para A, então 1 também é autovalor para A⁻1 .
II) Se a matriz A contém uma linha ou uma coluna de zeros, então 0 (zero) é um autovalor para A.
III) Dois autovetores distintos são linearmente independentes.
IV) Se a matriz A é diagonalizável, então os autovetores de A são linearmente independentes.
As seguintes afirmações são VERDADEIRAS:
Provas
Provas
Considere a função Cotangente Hiperbólica f(x) = coth(x). A respeito do comportamento da função f(x) sabe-se que:

Transformando a função f(x) para: g(x) = coth(– x + 2), quais serão as alteração no comportamento da função?
Provas
O raio de convergência da série 
Provas
Determine:
I) a e b de modo que o sistema
contenha infinitas soluções;
II) c e d de modo que o sistema
não tenha solução.
Provas
Caderno Container