Foram encontradas 600 questões.
A variável manipulada em um sistema de aquecimento de água para uma temperatura de 80°C é o(a)
Provas
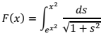
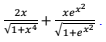
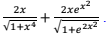
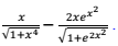
Para

com x ∈ [0,1] , tem-se que
é dada por
Provas
Provas
empregado (nome_pessoa, endereco, cidade) trabalha (nome_pessoa,nome_empresa,salario) empresa (nome_empresa,cidade) gerencia (nome_pessoa, nome_gerente)
Uma expressão da álgebra relacional que retorna o nome de todos os funcionários que moram na mesma cidade e na mesma rua, bem como seu(s) gerente(s) é
Provas
I. O utilitário wget é utilizado para fazer transferências do tipo download via HTTP do tipo GET, porém não funciona com o protocolo FTP. II. O APT é um sistema de gerenciamento de pacotes utilizado principalmente em distribuições baseadas no Debian, já o YUM oferece um serviço semelhante para as distribuições baseadas no Fedora. III. As interfaces virtuais de rede são configuradas com o comando ipconfig, em distribuições SUSE e o YaST pode ser utilizado para essa tarefa.
É correto afirmar que
Provas
- Química CinéticaRepresentação das Transformações Químicas
- Sistemas de EquilíbrioSistemas Homogêneos: Constantes: Kc e Kp. Deslocamento do Equilíbrio: Fatores
Considere a reação química balanceada abaixo.
2AgNO3(aq) + 2NaOH(aq)
Ag2O(s) + 2NaNO3 (aq) + H2O(l)
A expressão da constante de equilíbrio é
Provas
- FundamentosLigações Químicas
- FundamentosPropriedades das Substâncias
- Química CinéticaTransformações Químicas
- Química InorgânicaGeometria Molecular, Polaridade e Forças Intermoleculares
- Química InorgânicaSoluções e Substâncias InorgânicasSubstâncias Inorgânicas: dissociação iônica e ionização, conceitos de ácido-base
Considere as seguintes reações.
1. HCl + NH3 ⇌ NH4 Cl
2. CH3COOH +H2O (l) ⇌ CH3COO- (aq) + H3O+ (aq)
3. NH3 + BF3 ⇌ H3N-BF3
4. CH3CH2COOH + H2O (l) ⇌ CH3CH2COO- (aq) + H3O+ (aq)
Sobre as substâncias nelas presentes é INCORRETO afirmar que
Provas
- Química InorgânicaSoluções e Substâncias InorgânicasSubstâncias Inorgânicas: dissociação iônica e ionização, conceitos de ácido-base
Considerando as espécies químicas H+ , Cu+ , Mg2+, BF3, Au+ , NH4+ , BH3, F- , NH3, I- e C6H6, responda a questão.
Provas
Provas
Provas
Caderno Container