Foram encontradas 600 questões.
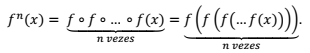
Seja ƒn(x) a função composta de n funções ƒ(x) , ou seja,

Para ƒ(x) = x2 + 4x +2, uma solução real da equação ƒB(x) =0 é dada por
Provas
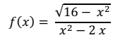
O domínio da função

é o conjunto
Provas
Provas
Provas
Anatol Rosenfeld (1965, p. 11), em seu O teatro épico, escreve que o “gênero lírico foi [...] definido como sendo o mais subjetivo: no poema lírico uma voz central exprime um estado de alma e o traduz por meio de orações. Trata-se essencialmente da expressão de emoções e disposições psíquicas, muitas vezes também de reflexões e visões enquanto intensamente vividas e experimentadas.”
Não perdendo de vista o caráter histórico de qualquer conceito envolvendo gêneros literários, assinale, entre os excertos abaixo, aquele que se adequa ao que Rosenfeld considera como lírico:
Provas
- Interpretação de TextosFunções da Linguagem
- Interpretação de TextosTipologia e Gênero TextualGêneros Textuais
Provas
Provas
Provas
Provas
Provas
Caderno Container