Foram encontradas 600 questões.
Provas
Provas
Provas
Provas
Um dos valores da potência complexa
é igual a
Provas
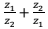
Se z1 e z2 são as raízes de z2
-(1+i)z+(2-i)=0
é igual a
Provas
que os quatros
veículos estacionem em vagas numeradas com números primos, e em fileiras distintas éProvas
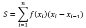
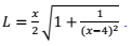
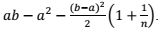
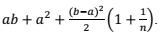
Considere a funçãoƒ(x) = x definida em e [a,b] e Ii =[xi-1, xi ]com i = 1,2,3,...,n uma partição de [a,b]. Tomando uma partição uniforme, a soma de Riemann

é dada por
Provas
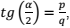
Considere o triângulo retângulo ABC com ângulo agudo α, como mostra a seguinte figura:

Para
com p,q ∈ ℕ e q ≠ 0, tem-se que os valores a, b e c são, respectivamente,
proporcionais a
Provas
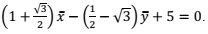
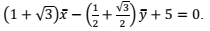
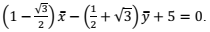
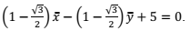
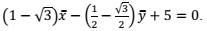
Considere o sistema cartesiano ortogonal s1 = (0,x,y) no plano. Sejam o ponto P = (2,3) e a reta r : 2x-y +5 = 0. Seja
o sistema obtido pela rotação do sistema s1 de π/3 radianos no
sentido anti-horário. Então, a equação da reta r no sistema
é dada por
Provas
Caderno Container