Foram encontradas 145 questões.
Disciplina: Literatura Brasileira e Estrangeira
Banca: DECEx
Orgão: EsPCEx
Sobre a segunda fase do Modernismo no Brasil, é correto afirmar que
Provas
Durante o mercantilismo, todos os produtos que chegavam à colônia ou saíam dela tinham que passar pela metrópole, caracterizando assim
Provas
Abaixo são fornecidos os resultados das reações entre metais e sais.
FeSO4(aq) + Ag(s) !$ \longrightarrow !$ não ocorre a reação
2 AgNO3(aq) + Fe(s) !$ \longrightarrow !$ Fe(NO3)2(aq) + 2 Ag(s)
3 Fe(SO4)(aq) + 2 Al(s) !$ \longrightarrow !$ Al2(SO4)3(aq) + 3 Fe(s)
Al2(SO4)3(aq) + Fe (s) !$ \longrightarrow !$ não ocorre a reação
De acordo com as reações acima equacionadas, a ordem decrescente de reatividade dos metais envolvidos em questão é:
Provas
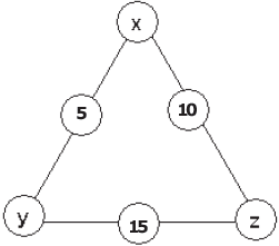
A figura abaixo é formada por um dispositivo de forma triangular em que, nos vértices e nos pontos médios dos lados, estão representados alguns valores, nem todos conhecidos. Sabe-se que a soma dos valores correspondentes a cada lado do triângulo é sempre 24.

Assim, o valor numérico da expressão x-y·z é
Provas
Sobre as reservas e a utilização dos recursos hídricos no Brasil e no Mundo, podemos afirmar que:
I- a água doce dos rios e dos lagos de todo o planeta é responsável pela maior parte da água doce da Terra.
II- no mundo inteiro, mais de 1,5 bilhão de pessoas dependem principalmente da água de reservas subterrâneas para suprir suas necessidades básicas.
III- apesar de grande parte do Estado de São Paulo situar-se sobre o Aquífero Guarani, o sistema de abastecimento do Estado não utiliza fontes subterrâneas.
IV- as calotas polares e as geleiras são as mais importantes, em termos quantitativos, reservas de água doce de nosso planeta.
Assinale a alternativa que apresenta todas as afirmativas corretas:
Provas
Um gás ideal sofre uma compressão isobárica sob a pressão de 4·103 N/m2 e o seu volume diminui 0,2 m3. Durante o processo, o gás perde 1,8·103 J de calor. A variação da energia interna do gás foi de:
Provas
A pressão (P) no interior de um líquido homogêneo, incompressível e em equilíbrio, varia com a profundidade (X) de acordo com o gráfico abaixo.

Considerando a aceleração da gravidade igual a 10 m/s2, podemos afirmar que a densidade do líquido é de:
Provas
Quando a intenção do emissor está voltada para a própria mensagem, quer na seleção e combinação das palavras, quer na estrutura da mensagem, com as mensagens carregadas de significados, temos a função de linguagem denominada
Provas
Num estádio de futebol em forma de elipse, o gramado é o retângulo MNPQ, inscrito na cônica, conforme mostra a figura. Escolhendo o sistema de coordenadas cartesianas indicado e tomando o metro como unidade, a elipse é descrita pela equação !$ {\large{x^2 \over 36^2}}+{\large{y^2 \over 60^2}}=1 !$. Sabe-se também que os focos da elipse estão situados em lados do retângulo MNPQ.

Assim, a distância entre as retas MN e PQ é
Provas
Leia o trecho abaixo e responda a questão.
Life and the Movies
Joey Potter looked at her friend Dawson Leery and she smiled sadly.
“Life isn’t like a movie, Dawson,” she said. “We can’t write happy endings to all our relationships.”
Joey was a pretty girl with long brown hair. Both Joey and Dawson were nearly sixteen years old. The two teenagers had problems. All teenagers have the same problems - life, love, school work, and parents. It isn’t easy to become an adult.
Dawson loved movies. He had always loved movies. He took film classes in school. He made short movies himself. Dawson wanted to be a film director. His favorite director was Steven Spielberg. Dawson spent a lot of his free time filming with his video camera. He loved watching videos of great movies from the past. Most evenings, he watched movies with Joey.
“These days, Dawson always wants us to behave like people in movies,” Joey thought. And life in the little seaside town of Capeside wasn’t like the movies.
Joey looked at the handsome, blond boy who was sitting next to her. She thought about the years of their long friendship. They were best friends...
ANDERS, C. J. Retold by CORNISH, F. H. Dawson’s Creek. Shifting into overdrive. Oxford, Macmillan, 2005.
According to the text, “The two teenagers had problems” because
Provas
Caderno Container