Foram encontradas 302 questões.
No caso de acidente de veículos, em relação ao socorro prestado à vitima, deve-se:
I. Em primeiro lugar verificar se a pessoa está respirando, cuidando para mantê-la respirando.
II. Se a vítima estiver consciente, perguntar o que está sentindo e observar possíveis hemorragias.
III. Em hipótese alguma dar líquidos à vitima.
IV. Somente encostar em ferimentos se for para evitar grande perda de sangue.
V. Solicitar auxílio da autoridade pública.
II. Se a vítima estiver consciente, perguntar o que está sentindo e observar possíveis hemorragias.
III. Em hipótese alguma dar líquidos à vitima.
IV. Somente encostar em ferimentos se for para evitar grande perda de sangue.
V. Solicitar auxílio da autoridade pública.
Assinale a alternativa CORRETA:
Provas
Questão presente nas seguintes provas
- Lei de Responsabilidade FiscalDívida e Endividamento (arts. 29 ao 42)Definições, Limites e Recondução da Dívida (arts. 29 ao 31)
De acordo com o disposto no artigo 29 da LRF – Lei de Responsabilidade Fiscal (Lei Complementar 101/2000), atribua a letra V para as verdadeiras e F para as falsas. Em seguida, marque a opção que contenha a sequência CORRETA:
( ) Dívida pública consolidada ou fundada é o montante total, apurado sem duplicidade, das obrigações financeiras do ente da Federação, assumidas em virtude de leis, contratos, convênios ou tratados e da realização de operações de crédito, para amortização em prazo superior a vinte quatro meses.
( ) Será incluída na dívida pública consolidada da União a relativa à emissão de títulos de responsabilidade do Banco Central do Brasil.
( ) Também integram a dívida pública consolidada as operações de crédito de prazo inferior a doze meses cujas receitas tenham constado do orçamento.
Provas
Questão presente nas seguintes provas
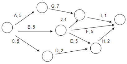
Dada a rede CPM da figura abaixo, determine o caminho crítico da operação. A letra indica a atividade, e o número indica o tempo (em horas) necessário para realizá-la.

Provas
Questão presente nas seguintes provas
Lei de Responsabilidade Fiscal tem por objetivo estabelecer normas de finanças públicas voltadas para a responsabilidade da gestão fiscal. Traduz-se no cuidado e zelo na arrecadação das receitas e na realização das despesas públicas, obrigando-se o gestor a agir com transparência e de forma planejada. Sobre a Lei de Responsabilidade Fiscal, assinale a alternativa INCORRETA:
Provas
Questão presente nas seguintes provas
O uso de luzes em veículo obedecerá às seguintes determinações:
Provas
Questão presente nas seguintes provas
Considere a rede de computadores responsável pelo tráfego de imagens obtidas das câmaras conectadas na rua com interface TCO/IP, que está estruturada conforme o esquema ao lado. Ela é constituída de três sub-redes e permite o acesso à Internet sob o protocolo TCP/IP. Considerando o endereço IP 204.140.111.0, indique qual a quantidade total de endereços de "hosts" com o referido endereço IP.
Provas
Questão presente nas seguintes provas
Suponha que você tenha formatado uma seção do texto e necessita copiar facilmente esta formação em outra parte do texto. Você deve:
Provas
Questão presente nas seguintes provas
O senhor Mário comprou um apartamento pelo sistema PRICE. Sua vizinha Paula comprou o apartamento ao lado pelo sistema SAC. Ambos pagaram 10 prestações das 36 do plano de financiamento. Considerando-se juros compostos, e que os dois apartamentos tenham mesmo valor e mesma taxa de juros (a taxa é um valor positivo), ou seja, é tudo igual, diferenciando-se apenas no plano de financiamento, é CORRETO afirmar:
Provas
Questão presente nas seguintes provas
Leia o trecho a seguir, adaptado de reportagem publicada na Gazeta do Povo de 05/04/2009, e assinale a alternativa CORRETA:
URBANIZAÇÃO DAS FAVELAS FREIA
IMIGRAÇÃO
IMIGRAÇÃO
Segundo o Ippuc, a migração não é a principal responsável pelo crescimento de Curitiba. Em 2007, diminuiu o número de pessoas que chegaram de fora da cidade. “Com a urbanização de algumas favelas de Curitiba, os imigrantes deixam de vir. Eles sabem que não vão encontrar espaços nesses locais e que não é mais tão simples invadir”, diz Augusto Canto Neto, presidente do Ippuc.
A geógrafa Olga Firkowski, professora do Departamento de Geografia da Universidade Federal do Paraná (UFPR), explica que a grande concentração de pessoas em alguns dos dez bairros mais populosos está ligada à baixa renda. “São lugares em que a legislação permite a ocupação de mais de uma família em um mesmo terreno. Nesses locais, é possível construir em espaços menores e mais do que uma casa por terreno. É o que conhecemos por 'puxadinhos', que chegam a abrigar várias famílias. Em bairros de classe média ou de classe alta não se permite esse tipo de construção. Por isso, o número total de habitantes é menor”, diz.
Provas
Questão presente nas seguintes provas
A organização Beta produziu, em 2008, 490.200 unidades de seu principal produto. Para isso foram utilizados 32.680 homens-hora. Em 2007, a produção chegou a 456120 unidades tendo sido gastos 32.580 homens-hora. Dado esse contexto, responda:
I. Qual a produtividade da mão-de-obra em cada ano?
II. É possível afirmar que em 2008 houve maior lucro do que em 2007?
Provas
Questão presente nas seguintes provas
Cadernos
Caderno Container