Foram encontradas 560 questões.
Provas






Provas
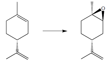
Um aluno de pós-graduação tem como tarefa estudar a seguinte reação química:

Para quantificar seus resultados, a técnica adequada a usar é a
Provas
Provas
Provas
De acordo com a Portaria nº 2.914/2011, do Ministério da Saúde, da qualidade da água para consumo humano refere-se ao conjunto de atividades exercidas pelo responsável pelo sistema de abastecimento de água. Já da qualidade da água é um conjunto de ações exercidas por autoridade de saúde pública para verificar se a água consumida apresenta riscos à saúde pública. Para garantia da qualidade microbiológica da água, em complementação às exigências relativas aos indicadores microbiológicos, deve ser atendido o padrão de .
Assinale a alternativa que completa, correta e respectivamente, as lacunas do trecho acima.
Provas
Provas
Provas
Provas
Provas
Caderno Container