Foram encontradas 1.139 questões.
Determinada empresa produz dois produtos distintos: A e B. Considere as seguintes informações relativas ao mês de janeiro de X0:
|
Custo Unitário de
Matéria-Prima
(em R$)
|
Custo Unitário de
Mão de Obra
Direta (em R$)
|
Horas-máquina
por unidade
(em minutos)
|
Quantidade
Produzida
(em unidades)
|
|
| Produto A | 1,05 | 1,30 | 12 | 200 |
| Produto B | 1,95 | 1,10 | 24 | 150 |
A empresa incorreu em um total de R$ 1.400,00 em custos indiretos de fabricação (CIF). Sabendo que a empresa utiliza o custeio por absorção, rateando os custos indiretos de fabricação em função das horas-máquina consumidas no processo produtivo, o custo unitário dos produtos A e B no período foi de, respectivamente,
Provas
Questão presente nas seguintes provas
Leia o trecho a seguir, extraído e adaptado da Zero Hora de 6 de maio de 2012, que aborda algumas mudanças promovidas pelo jornal em relação à publicação de seus conteúdos.
Essa concepção, que exige redação e estruturas de operação altamente sofisticadas, visa em primeiro lugar à valorização da relação de confiança estabelecida pelos assinantes de ZH. Quem assina o jornal sete dias por semana ganha acesso pleno a todos os conteúdos em todas as modalidades tecnológicas, inclusive a réplica em PDF da versão original em papel ou seu download em tablets. E todos os assinantes têm vantagens exclusivas, como os descontos do Clube do Assinante e na RBS Publicações.
Considere as passagens a seguir, extraídas do trecho lido.
I - que exige redação e estruturas de operação altamente sofisticadas
II - visa em primeiro lugar à valorização da relação de confiança estabelecida pelos assinantes de ZH
III - Quem assina o jornal sete dias por semana ganha acesso pleno a todos os conteúdos em todas as modalidades tecnológicas.
IV - inclusive a réplica em PDF da versão original em papel ou seu download em tablets
Quais mereceriam alterações em nome da clareza, da correção ou do estilo?
Provas
Questão presente nas seguintes provas
Considerando as quatro funções do administrador, assinale a alternativa correta, com relação à função “Dirigir”.
Provas
Questão presente nas seguintes provas
Assinale um exemplo de articulação tipo gonfose.
Provas
Questão presente nas seguintes provas
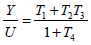
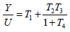
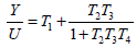
Considere o diagrama de blocos a seguir:

Qual das alternativas abaixo apresenta a função de transferência equivalente ao diagrama dado?
Provas
Questão presente nas seguintes provas
Instrução: A questão refere-se ao texto abaixo.
A hipertensão é uma doença “democrática”: atinge as crianças, os adultos e os idosos, o homem e a mulher de quaisquer classes sociais e condições financeiras.
Conhecida como “pressão alta”, associa-se à força que o sangue faz contra as paredes das artérias para conseguir circular. O estreitamento das artérias cria a necessidade de o coração bombear o sangue com mais força, o que dilata o coração e danifica artérias.
Os valores da pressão arterial mudam ao longo do dia. Caem quando dormimos ou estamos relaxados, subindo com atividade física, agitação e estresse. Considera-se hipertensa a pessoa que, com a pressão medida em repouso, apresenta valores iguais ou acima de 14 por 9.
A hipertensão arterial é doença traiçoeira, só provoca sintomas em fases avançadas ou quando a pressão aumenta de forma abrupta e exagerada. Algumas pessoas podem apresentar sintomas, como dores de cabeça e tonturas, que são sinais de alerta.
O objetivo do tratamento é não deixar a pressão ultrapassar os valores de 12 por 8. Com hipertensão leve, tenta-se primeiro o tratamento não medicamentoso, que é importante e envolve mudar hábitos de vida. A pessoa precisa praticar exercícios físicos, não exagerar no sal e na bebida alcoólica, controlar o estresse e o peso.
Como há nítida relação entre pressão alta e aumento do peso, perder 10% do peso é uma forma eficaz de reduzir a pressão. A cada 1 Kg de peso a menos, a pressão cai de 1,3 a 1,6 em média.
Pessoa com pressão discretamente aumentada, que não consegue controlá-la com exercícios, necessita usar medicação para relaxar seus vasos. Todos os remédios para hipertensão dilatam artérias. Os mais antigos, como os diuréticos, por exemplo, ajudam a reduzir a reatividade dos vasos. Os mais modernos costumam ser mais tolerados e provocam menos efeitos colaterais.
É possível controlar a pressão arterial desde que haja adesão ao tratamento. Para tanto, o paciente precisa fazer sua parte: tomar os remédios corretamente e mudar os hábitos de vida.
Adaptado de: VARELA, Drauzio. Doenças e sintomas
http://drauziovarella.com.br/.
Observe as opções de reformulação para o trecho É possível controlar a pressão arterial desde que haja adesão ao tratamento. Para tanto, o paciente precisa fazer sua parte: tomar os remédios corretamente e mudar os hábitos de vida.
I - Desde que haja adesão ao tratamento, é sempre possível: controlar a pressão arterial. Para, conseguir isso, o paciente, precisa: fazer sua parte; tomar os remédios corretamente; adotando novos hábitos de vida.
II - Para controlar a pressão arterial, o paciente precisa fazer sua parte. É importante que ele consiga tomar os remédios corretamente e que mude seus hábitos de vida.
III - É sempre, possível, controlar a pressão arterial. Para conseguir isso, o paciente, precisará: fazer a sua parte; tomar os remédios corretamente; adotando novos hábitos de vida.
IV - Fazer a sua parte significa, para o paciente, tomar os remédios corretamente e adotar novos hábitos de vida. Assim, com adesão ao tratamento, é possível controlar a pressão arterial.
Quais opções estão ISENTAS de erros de pontuação?
Provas
Questão presente nas seguintes provas
Instrução: Para a questão, considere a seguinte notação: a barra (/) significa “NÃO”, o ponto (·) significa “E” e o sinal de mais (+) significa “OU”
Observe o circuito abaixo.

A função lógica F implementada pelas portas lógicas conectadas no circuito é
Provas
Questão presente nas seguintes provas
- VirtualizaçãoParavirtualização
- VirtualizaçãoTipos de Hypervisor
- VirtualizaçãoVirtualização Assistida por Hardware
- VirtualizaçãoVirtualização Total (Completa)
O tipo de virtualização em que o sistema operacional hóspede é modificado para substituir instruções sensíveis por chamadas ao hipervisor é denominado de
Provas
Questão presente nas seguintes provas
Na teoria arquivística, o termo _____________, aplicado à informação, significa que a informação contida em determinados documentos oficiais não será encontrada em outras fontes documentárias de forma tão completa e utilizável.
Assinale a alternativa que preenche corretamente a lacuna acima.
Provas
Questão presente nas seguintes provas
A fermentação lática é amplamente empregada na indústria de alimentos como método de conservação. Além dos produtos provenientes da fermentação do leite e derivados (iogurtes, coalhada, quefir, etc.), também aparece na fermentação de hortaliças e azeitonas.
Assinale a afirmativa INCORRETA.
Provas
Questão presente nas seguintes provas
Cadernos
Caderno Container