Magna Concursos

Foram encontradas 64 questões.

Instrução: A questão refere-se ao texto abaixo.
Tenho medo da palavra "prático". Sempre me parece que o que é prático nos tira alguma coisa.
Acho que tudo começou no dia em que cheguei da escola e vi cortado o abacateiro do quintal da minha infância.
"É mais prático. Suja muito" – disse minha avó.
Eu não podia acreditar. Já não bastava terem cimentado o gramadinho onde eu fazia incríveis florestas, agora eu teria apenas aquele toco no meio do cimento para sentar. Francamente! Não gosto do que é prático. Prático me parece mínimo, sem detalhes. E Deus mora nos detalhes.
No mês passado, estive em temporada no centro do Rio. Fazia tempo que eu não andava por lá. Tentei achar um restaurante onde eu costumava ir almoçar com meu pai. Era uma dessas tabernas da Lapa, pequenas, baratas e com comida maravilhosa – vinda de uma senhora portuguesa escondida na cozinha.
Procurei loucamente pelas ruazinhas atrás da Cinelândia e quis gritar de alegria quando vi o mesmo letreiro ainda na porta.
O lugar era o mesmo, mas tinha sido azulejado, os quadros, retirados das paredes e a comida, agora, era cobrada a quilo. Uma fila para servir, outra para pesar, bandejas, talheres ensacados, sachezinhos de sal e nem sequer um caldeirão de caldo verde ou uma lasca de bacalhau que fosse no bufê.
Achei que tinha mudado o dono e apenas mantido o nome, mas, quando olhei pelo quadradinho que dava pra cozinha, lá estava, curiosamente, a mesma senhora, castigada pelo tempo e pelo que é mais prático e econômico.
Lembrei-me da minha avó. Também prática. Também portuguesa. Quando mandou cortar o abacateiro ainda fazia sua própria massa de pastel. Viva fosse, talvez já tivesse se rendido à massa pronta, comprada no supermercado. Teria meu perdão. Quem pode resistir ao que é mais prático e econômico num mundo que justifica tudo pelo custo e pela eficiência?
Mas será que preciso mesmo ficar sacudindo travesseirinhos de sal úmido pelas mesas? Não consigo dizer por que uma coisa tão banal me provoca tanto mal-estar, mas sei exatamente o conforto que me dá um guardanapo de pano furadinho num restaurante decadente que não se rendeu ao bufê a quilo.
A felicidade não é prática e econômica. A felicidade mora nos becos. Quer coisa mais prática e econômica do que uma sala iluminada por uma lâmpada fluorescente? Quer coisa mais triste?
Se tivesse ido ao restaurante para jantar, acho que choraria na calçada.
Adaptado de: FRAGA, Denise. Precisar, não precisa. Folha
de São Paulo, 24/7/2012. Disponível em
http://www1.folha.uol.com.br/colunas/denisefraga/11245
96-precisar-nao-precisa.shtml. Acessado em 20/1/2013.
O texto trata essencialmente
 

Provas

Questão presente nas seguintes provas
1411800 Ano: 2013
Disciplina: Engenharia Mecânica
Banca: UFRGS
Orgão: UFRGS
Provas:
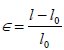
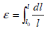
A relação entre a deformação verdadeira Enunciado 1411800-1 a deformação de engenharia Enunciado 1411800-2 de um corpo de prova de ensaio de tração, onde l é o comprimento instantâneo e l0 é o comprimento original de bitola antes de qualquer carga ser aplicada, pode ser descrita por:
 

Provas

Questão presente nas seguintes provas
Instrução: A questão refere-se ao texto abaixo.
A preocupação com o tratamento dado aos animais que nos servem de alimento tem origem em um questionamento ainda maior, ao qual a ciência tenta dar uma resposta: seriam os bichos capazes de desenvolver algum tipo de sentimento ou inteligência? Estudos recentes revelam que o cérebro de alguns animais processa tarefas antes atribuídas apenas a seres humanos. Já se sabe que os elefantes adotam um comportamento semelhante ao luto quando um integrante da manada morre. Pássaros como o corvo sabem confeccionar e usar ferramentas para construir seus ninhos. Ratos tendem a imitar os movimentos de outros membros da espécie ao vê-los se contorcer de dor. O exemplo mais notável de animal que apresenta um tipo de inteligência evoluída é o bonobo, um membro da família dos chimpanzés. Cientistas americanos conseguiram que um exemplar desses primatas desenvolvesse um sistema complexo de comunicação. Ele compreende cerca de 380 palavras e, por meio de um tabuleiro com cartões coloridos, as ordena de modo a compor frases. O bonobo também consegue expressar noções de tempo e grandeza.
Com isso, os defensores dos animais ganharam mais argumentos para tentar mudar as leis a favor de seus protegidos. Há dois anos, o Parlamento espanhol estendeu alguns direitos humanos a chimpanzés, gorilas, orangotangos e, claro, bonobos. O país das touradas decidiu que os primatas não podem ser torturados nem mortos (salvo em casos de defesa contra ataque). “Quando o homem começa a perceber que os animais têm algumas características semelhantes às suas, fica menos suscetível a submetê-los a tratamentos que resultem em dor ou sofrimento”, disse a VEJA a advogada americana Pamela Frasch, especialista em legislação dos direitos dos animais."
Adaptado de: Sinais de Inteligência. Revista Veja,
8/10/2010, edição 2181, p. 129 Disponível em
http://veja.abril.com.br/acervodigital/home.aspx. Acessado
em 16/1/2013.
Considere as seguintes afirmações.
I - A ciência conseguiu demonstrar que os animais possuem o mesmo grau de inteligência e de sentimentos dos humanos, o que impõe que não sejam mais submetidos a tratamentos que resultem em dor ou sofrimento.
II - Considerando-se as descobertas acerca da possível semelhança entre animais e homens em relação à forma como pensam e sentem, os defensores dos animais sustentam que estes não devam mais ser usados como alimentos.
III - O mais importante argumento em favor da tese de inteligência animal evoluída é o de semelhança com o homem no que concerne à linguagem.
Quais estão de acordo as ideias veiculadas pelo texto?
 

Provas

Questão presente nas seguintes provas
Instrução: A questão refere-se ao texto abaixo.
Tenho medo da palavra "prático". Sempre me parece que o que é prático nos tira alguma coisa.
Acho que tudo começou no dia em que cheguei da escola e vi cortado o abacateiro do quintal da minha infância.
"É mais prático. Suja muito" – disse minha avó.
Eu não podia acreditar. Já não bastava terem cimentado o gramadinho onde eu fazia incríveis florestas, agora eu teria apenas aquele toco no meio do cimento para sentar. Francamente! Não gosto do que é prático. Prático me parece mínimo, sem detalhes. E Deus mora nos detalhes.
No mês passado, estive em temporada no centro do Rio. Fazia tempo que eu não andava por lá. Tentei achar um restaurante onde eu costumava ir almoçar com meu pai. Era uma dessas tabernas da Lapa, pequenas, baratas e com comida maravilhosa – vinda de uma senhora portuguesa escondida na cozinha.
Procurei loucamente pelas ruazinhas atrás da Cinelândia e quis gritar de alegria quando vi o mesmo letreiro ainda na porta.
O lugar era o mesmo, mas tinha sido azulejado, os quadros, retirados das paredes e a comida, agora, era cobrada a quilo. Uma fila para servir, outra para pesar, bandejas, talheres ensacados, sachezinhos de sal e nem sequer um caldeirão de caldo verde ou uma lasca de bacalhau que fosse no bufê.
Achei que tinha mudado o dono e apenas mantido o nome, mas, quando olhei pelo quadradinho que dava pra cozinha, lá estava, curiosamente, a mesma senhora, castigada pelo tempo e pelo que é mais prático e econômico.
Lembrei-me da minha avó. Também prática. Também portuguesa. Quando mandou cortar o abacateiro ainda fazia sua própria massa de pastel. Viva fosse, talvez já tivesse se rendido à massa pronta, comprada no supermercado. Teria meu perdão. Quem pode resistir ao que é mais prático e econômico num mundo que justifica tudo pelo custo e pela eficiência?
Mas será que preciso mesmo ficar sacudindo travesseirinhos de sal úmido pelas mesas? Não consigo dizer por que uma coisa tão banal me provoca tanto mal-estar, mas sei exatamente o conforto que me dá um guardanapo de pano furadinho num restaurante decadente que não se rendeu ao bufê a quilo.
A felicidade não é prática e econômica. A felicidade mora nos becos. Quer coisa mais prática e econômica do que uma sala iluminada por uma lâmpada fluorescente? Quer coisa mais triste?
Se tivesse ido ao restaurante para jantar, acho que choraria na calçada.
Adaptado de: FRAGA, Denise. Precisar, não precisa. Folha
de São Paulo, 24/7/2012. Disponível em
http://www1.folha.uol.com.br/colunas/denisefraga/11245
96-precisar-nao-precisa.shtml. Acessado em 20/1/2013.
Considere as seguintes propostas de reescrita do trecho
Acho que tudo começou no dia em que cheguei da escola e vi cortado o abacateiro do quintal da minha infância.
"É mais prático. Suja muito" – disse minha avó.
I - Penso que tudo começara no dia no qual cheguei da escola e vi que o abacateiro do quintal da minha infância houvera sido cortado. Minha avó disse que havia sido mais prático, pois sujaria muito.
II - Acho que tudo começou no dia em que cheguei da escola e vi que o abacateiro do quintal da minha infância tinha sido cortado, e minha avó disse que dessa forma era mais prático, pois sujava muito.
III - Creio que tudo começou no dia em que, ao chegar da escola, vi o abacateiro do quintal da minha infância cortado. Minha avó disse que assim era mais prático, que, do contrário, sujava muito.
Quais estão corretas do ponto de vista da norma gramatical e conservam o sentido original do texto?
 

Provas

Questão presente nas seguintes provas
Instrução: A questão refere-se ao texto abaixo.
Tenho medo da palavra "prático". Sempre me parece que o que é prático nos tira alguma coisa.
Acho que tudo começou no dia em que cheguei da escola e vi cortado o abacateiro do quintal da minha infância.
"É mais prático. Suja muito" – disse minha avó.
Eu não podia acreditar. Já não bastava terem cimentado o gramadinho onde eu fazia incríveis florestas, agora eu teria apenas aquele toco no meio do cimento para sentar. Francamente! Não gosto do que é prático. Prático me parece mínimo, sem detalhes. E Deus mora nos detalhes.
No mês passado, estive em temporada no centro do Rio. Fazia tempo que eu não andava por . Tentei achar um restaurante onde eu costumava ir almoçar com meu pai. Era uma dessas tabernas da Lapa, pequenas, baratas e com comida maravilhosa – vinda de uma senhora portuguesa escondida na cozinha.
Procurei loucamente pelas ruazinhas atrás da Cinelândia e quis gritar de alegria quando vi o mesmo letreiro ainda na porta.
O lugar era o mesmo, mas tinha sido azulejado, os quadros, retirados das paredes e a comida, agora, era cobrada a quilo. Uma fila para servir, outra para pesar, bandejas, talheres ensacados, sachezinhos de sal e nem sequer um caldeirão de caldo verde ou uma lasca de bacalhau que fosse no bufê.
Achei que tinha mudado o dono e apenas mantido o nome, mas, quando olhei pelo quadradinho que dava pra cozinha, lá estava, curiosamente, a mesma senhora, castigada pelo tempo e pelo que é mais prático e econômico.
Lembrei-me da minha avó. Também prática. Também portuguesa. Quando mandou cortar o abacateiro ainda fazia sua própria massa de pastel. Viva fosse, talvez já tivesse se rendido à massa pronta, comprada no supermercado. Teria meu perdão. Quem pode resistir ao que é mais prático e econômico num mundo que justifica tudo pelo custo e pela eficiência?
Mas será que preciso mesmo ficar sacudindo travesseirinhos de sal úmido pelas mesas? Não consigo dizer por que uma coisa tão banal me provoca tanto mal-estar, mas sei exatamente o conforto que me dá um guardanapo de pano furadinho num restaurante decadente que não se rendeu ao bufê a quilo.
A felicidade não é prática e econômica. A felicidade mora nos becos. Quer coisa mais prática e econômica do que uma sala iluminada por uma lâmpada fluorescente? Quer coisa mais triste?
Se tivesse ido ao restaurante para jantar, acho que choraria na calçada.
Adaptado de: FRAGA, Denise. Precisar, não precisa. Folha
de São Paulo, 24/7/2012. Disponível em
http://www1.folha.uol.com.br/colunas/denisefraga/11245
96-precisar-nao-precisa.shtml. Acessado em 20/1/2013.
Considere as seguintes afirmações sobre emprego de vocábulos do texto.
I - O advérbio recupera a expressão no centro do Rio.
II - O artigo definido O, em O lugar, é empregado para veicular uma informação ainda não compartilhada com o leitor.
III - A forma verbal Lembrei-me está empregada na voz reflexiva.
IV - O pronome se, em se rendido, classifica- se como uma partícula apassivadora do sujeito.
Quais estão corretas?
 

Provas

Questão presente nas seguintes provas
Instrução: A questão refere-se ao texto abaixo.
Tenho medo da palavra "prático". Sempre me parece que o que é prático nos tira alguma coisa.
Acho que tudo começou no dia em que cheguei da escola e vi cortado o abacateiro do quintal da minha infância.
"É mais prático. Suja muito" – disse minha avó.
Eu não podia acreditar. Já não bastava terem cimentado o gramadinho onde eu fazia incríveis florestas, agora eu teria apenas aquele toco no meio do cimento para sentar. Francamente! Não gosto do que é prático. Prático me parece mínimo, sem detalhes. E Deus mora nos detalhes.
No mês passado, estive em temporada no centro do Rio. Fazia tempo que eu não andava por lá. Tentei achar um restaurante onde eu costumava ir almoçar com meu pai. Era uma dessas tabernas da Lapa, pequenas, baratas e com comida maravilhosa – vinda de uma senhora portuguesa escondida na cozinha.
Procurei loucamente pelas ruazinhas atrás da Cinelândia e quis gritar de alegria quando vi o mesmo letreiro ainda na porta.
O lugar era o mesmo, mas tinha sido azulejado, os quadros, retirados das paredes e a comida, agora, era cobrada a quilo. Uma fila para servir, outra para pesar, bandejas, talheres ensacados, sachezinhos de sal e nem sequer um caldeirão de caldo verde ou uma lasca de bacalhau que fosse no bufê.
Achei que tinha mudado o dono e apenas mantido o nome, mas, quando olhei pelo quadradinho que dava pra cozinha, lá estava, curiosamente, a mesma senhora, castigada pelo tempo e pelo que é mais prático e econômico.
Lembrei-me da minha avó. Também prática. Também portuguesa. Quando mandou cortar o abacateiro ainda fazia sua própria massa de pastel. Viva fosse, talvez já tivesse se rendido à massa pronta, comprada no supermercado. Teria meu perdão. Quem pode resistir ao que é mais prático e econômico num mundo que justifica tudo pelo custo e pela eficiência?
Mas será que preciso mesmo ficar sacudindo travesseirinhos de sal úmido pelas mesas? Não consigo dizer por que uma coisa tão banal me provoca tanto mal-estar, mas sei exatamente o conforto que me dá um guardanapo de pano furadinho num restaurante decadente que não se rendeu ao bufê a quilo.
A felicidade não é prática e econômica. A felicidade mora nos becos. Quer coisa mais prática e econômica do que uma sala iluminada por uma lâmpada fluorescente? Quer coisa mais triste?
Se tivesse ido ao restaurante para jantar, acho que choraria na calçada.
Adaptado de: FRAGA, Denise. Precisar, não precisa. Folha
de São Paulo, 24/7/2012. Disponível em
http://www1.folha.uol.com.br/colunas/denisefraga/11245
96-precisar-nao-precisa.shtml. Acessado em 20/1/2013.
Considere as seguintes afirmações sobre a pontuação do texto.
I - As aspas empregadas na primeira linha têm a mesma função das empregadas na destacada.
II - Se suprimirmos a vírgula que segue a palavra senhora, a qualificação que a segue, castigada pelo tempo e pelo que é mais prático e econômico, passará a ter valor explicativo.
III - O ponto de interrogação que segue a palavra eficiência está empregado para caracterizar uma pergunta retórica.
IV - O ponto que segue a palavra econômica poderia ser substituído por ponto e vírgula, com o devido ajuste de maiúsculas e minúsculas.
Quais estão corretas do ponto de vista da norma gramatical e da coerência das ideias veiculadas pelo texto?
 

Provas

Questão presente nas seguintes provas
Instrução: A questão refere-se ao texto abaixo.
A preocupação com o tratamento dado aos animais que nos servem de alimento tem origem em um questionamento ainda maior, ao qual a ciência tenta dar uma resposta: seriam os bichos capazes de desenvolver algum tipo de sentimento ou inteligência? Estudos recentes revelam que o cérebro de alguns animais processa tarefas antes atribuídas apenas a seres humanos. Já se sabe que os elefantes adotam um comportamento semelhante ao luto quando um integrante da manada morre. Pássaros como o corvo sabem confeccionar e usar ferramentas para construir seus ninhos. Ratos tendem a imitar os movimentos de outros membros da espécie ao vê-los se contorcer de dor. O exemplo mais notável de animal que apresenta um tipo de inteligência evoluída é o bonobo, um membro da família dos chimpanzés. Cientistas americanos conseguiram que um exemplar desses primatas desenvolvesse um sistema complexo de comunicação. Ele compreende cerca de 380 palavras e, por meio de um tabuleiro com cartões coloridos, as ordena de modo a compor frases. O bonobo também consegue expressar noções de tempo e grandeza.
Com isso, os defensores dos animais ganharam mais argumentos para tentar mudar as leis a favor de seus protegidos. Há dois anos, o Parlamento espanhol estendeu alguns direitos humanos a chimpanzés, gorilas, orangotangos e, claro, bonobos. O país das touradas decidiu que os primatas não podem ser torturados nem mortos (salvo em casos de defesa contra ataque). “Quando o homem começa a perceber que os animais têm algumas características semelhantes às suas, fica menos suscetível a submetê-los a tratamentos que resultem em dor ou sofrimento”, disse a VEJA a advogada americana Pamela Frasch, especialista em legislação dos direitos dos animais."
Adaptado de: Sinais de Inteligência. Revista Veja,
8/10/2010, edição 2181, p. 129 Disponível em
http://veja.abril.com.br/acervodigital/home.aspx. Acessado
em 16/1/2013.
Considere as seguintes afirmações sobre o vocábulo que no texto.
I - Em que nos servem de alimento, tem a função de sujeito da oração de que faz parte.
II - Em que os primatas não podem ser torturados nem mortos, introduz uma oração com função de objeto indireto.
III - No trecho que resultem em dor ou sofrimento, introduz uma oração com valor restritivo.
Quais estão corretas?
 

Provas

Questão presente nas seguintes provas
1410844 Ano: 2013
Disciplina: Engenharia Mecânica
Banca: UFRGS
Orgão: UFRGS
Provas:
De acordo com a teoria de resistência dos materiais, a força cortante ou de cisalhamento V e o momento fletor M são relacionados pela expressão
 

Provas

Questão presente nas seguintes provas

Conforme a Constituição Federal, o prazo de validade do concurso público será de

 

Provas

Questão presente nas seguintes provas
1410438 Ano: 2013
Disciplina: Engenharia Mecânica
Banca: UFRGS
Orgão: UFRGS
Provas:
Considere as afirmações abaixo sobre engrenagens.
I - Existem dois tipos principais de falha que afetam os dentes de engrenagens cilíndricas retas: fratura por fadiga por causa das tensões variadas de flexão na raiz do dente e fadiga superficial (crateração) das superfícies do dente por tensões de superfície (hertzianas).
II - As vantagens principais do engrenamento helicoidal sobre o reto estão no funcionamento mais silencioso e na maior resistência para o mesmo tamanho de engrenagem.
III - As engrenagens cônicas são formadas de cones de rolamento acoplados e conectam eixos não paralelos que se interceptam nos vértices dos cones.
IV - Os sem-fins e engrenagens sem-fim (coroa ou roda sem-fim) conectam eixos não paralelos e sem interseção, tipicamente em ângulos retos entre eles.
Quais estão corretas?
 

Provas

Questão presente nas seguintes provas