Foram encontradas 1.914 questões.
Embalagens de papelão e sacolas plásticas de compras utilizam um processo de impressão característico pelo efeito “squash”, o qual trata da definição irregular dos contornos e a má distribuição de tinta. Apesar disso, é um processo comum pelo baixo custo e durabilidade da impressão. Trata-se do processo de:
Provas
Questão presente nas seguintes provas
1624911
Ano: 2016
Disciplina: TI - Desenvolvimento de Sistemas
Banca: COVEST-COPSET
Orgão: UFPE
Disciplina: TI - Desenvolvimento de Sistemas
Banca: COVEST-COPSET
Orgão: UFPE
Provas:
Quantas vezes o conteúdo interno ao laço a seguir é executado?
for(int i=0; i < 9; i+=2) {
printf(“bom dia!”);
printf(“bom dia!”);
}
Provas
Questão presente nas seguintes provas
- Estatística InferencialTeste de HipótesesTeste de Hipóteses para ProporçõesUsando a Distribuição Normal
O índice de evasão do Ensino Superior do Brasil é de, aproximadamente, 20%. Os cursos de engenharia da UFPE têm evasão de, aproximadamente, 25%. Teste a hipótese de que o índice de evasão dos 625 estudantes dos cursos de engenharia da UFPE é superior ao do Brasil ao nível de 1% de significância.

Provas
Questão presente nas seguintes provas
A Tradução intersemiótica ou transmutação é um processo que envolve:
Provas
Questão presente nas seguintes provas
Foi elaborado um projeto de montagem de um gerador para alimentar um determinado circuito. A figura a seguir mostra o arranjo experimental necessário para atendimento do projeto em questão, utilizando quatro baterias idênticas, 12V e 200Ah cada, interligadas por cabos elétricos curtos e idênticos. Considerando o sistema gerador, assinale a alternativa correta.

Provas
Questão presente nas seguintes provas
O Inciso III do Art. 1º da Constituição Federal de 1988, ao tratar de seus fundamentos essenciais, privilegia a educação, apontando-a como uma das alternativas para a:
Provas
Questão presente nas seguintes provas
O SNMP é o protocolo de gerência de redes padrão do IETF. Sobre esse assunto, assinale a alternativa correta.
Provas
Questão presente nas seguintes provas
Sobre o mapeamento EER-Relacional, é correto afirmar que:
Provas
Questão presente nas seguintes provas
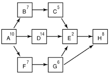
Considere um projeto com a rede de atividades mostrada a seguir.

Se a duração da atividade B foi mudada de 7 para 12 dias e a duração da atividade G foi mudada de 6 para 9 dias, qual das seguintes alternativas representa o caminho crítico do projeto?
Provas
Questão presente nas seguintes provas
O Microscópio Eletrônico de Varredura (MEV) pode ser subdividido em alguns sistemas com diferentes funções. O sistema de vácuo, que faz parte de um desses sistemas, é de grande importância para a obtenção do resultado nas análises de amostras. A função do sistema de vácuo do MEV está corretamente descrita em:
Provas
Questão presente nas seguintes provas
Cadernos
Caderno Container