Foram encontradas 989 questões.
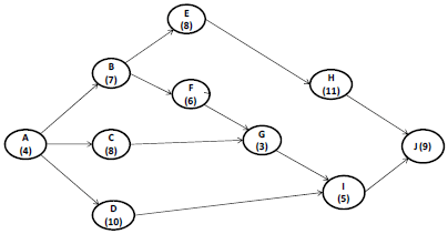
Utilize a imagem do diagrama PERT a seguir para responder a questão abaixo.

Para acompanhar um projeto de pesquisa, financiado pelo CNPq, a equipe de projetos preparou um diagrama PERT. Considerando que para cada atividade prevista (listadas de A a J) está relacionado um tempo de realização (em semanas), qual é o menor tempo possível para a conclusão do projeto?
Provas
Questão presente nas seguintes provas
- Linguagens e Suportes MidiáticosProdução AudiovisualTeorias, Conceitos e Terminologia de Audiovisual e Cinema
Quando a câmera se desloca lateralmente seguindo o objeto da cena (personagem, animal, transporte etc.) seu operador está fazendo
Provas
Questão presente nas seguintes provas
Assinale a opção correta quanto a Síndrome de Burn-out.
Provas
Questão presente nas seguintes provas
No trecho abaixo, a tonalidade e o modo correspondem a

Provas
Questão presente nas seguintes provas
Texto que expressa a opinião da empresa que edita o jornal ou revista:
Provas
Questão presente nas seguintes provas
Conformados e realistas
Fernando Calazans e poucos outros jornalistas esportivos têm sido críticos e realistas sobre a qualidade e o futuro do futebol brasileiro, da seleção e dos clubes. Penso da mesma forma. Estamos preocupados.
Já a numerosa turma do oba-oba, também chamada de otimista, acha que somos muito pessimistas.
Os conformados, os que têm pouco senso crítico e também os modernistas, que são muito bem preparados cientificamente, dizem que o futebol moderno é esse aí. Temos de engoli-lo. Tocar a bola e esperar o momento certo para tentar fazer o gol virou sinônimo de lentidão. Confundem modernidade com mediocridade.
Ninguém é tão ingênuo para achar que se deve jogar hoje no estilo dos ano 60.
O que queremos é ver mais qualidade. Não podemos nos contentar com um futebol medíocre quase só de jogadas aéreas e de muitas faltas e muita correria. O encanto do futebol é outro.
Os jogadores são produzidos em série, para a exportação, como uma fábrica de parafusos. Os atletas de talento são colocados na mesma linha de produção dos medíocres. Há mercado para todos. Aumentou a quantidade e diminuiu a qualidade.
Caderno de Esporte. Folha de S. Paulo, 31/8/2008.
Dadas as proposições seguintes,
1. O autor divide em três classes aqueles que são otimistas quanto ao futebol brasileiro.
2. Ao caracterizar o futebol como medíocre, o autor está emitindo um juízo de valor, ou seja, expressa a opinião dele sem elementos que a comprovem.
3. Embora haja um ponto final após “[...] futebol moderno é esse aí.”, a relação que há com o período seguinte é de conclusão, podendo, inclusive, substituir-se o referido sinal por dois pontos.
4. O uso da primeira pessoa do plural, nos 1º e 5º parágrafos, indica a opinião do autor e de alguns jornalistas sobre o futebol brasileiro.
verifica-se que
Provas
Questão presente nas seguintes provas
Qual das opções abaixo não representa critério a ser observado pela administração pública nos processos administrativos, na forma disposta na Lei Federal nº 9.784, de 29 de janeiro de 1999?
Provas
Questão presente nas seguintes provas
Para garantir a boa conservação da prataria, é correto dizer:
Provas
Questão presente nas seguintes provas
Em telejornalismo, o trabalho do câmara depende do repórter e vice-versa. Podemos afirmar, corretamente, que, exceto:
Provas
Questão presente nas seguintes provas
A cesariana em porcas é indicada para a resolução de partos distócicos. Quanto ao procedimento, é incorreto afirmar:
Provas
Questão presente nas seguintes provas
Cadernos
Caderno Container