Foram encontradas 3.478 questões.
Dado o modelo de programação linear

O par ordenado que maximiza a função Z é
Provas
Considere o modelo primal de programação linear.

onde A é uma matriz de ordem m × n, x !$ in !$ Rn, B é um vetor linha com m componentes, C é um vetor linha com n componentes constantes e CT indica o vetor transposto do vetor C.
Acerca do modelo primal e das suas relações com o modelo dual associado a ele, avalie as afirmativas a seguir.
I - Se o primal for de maximização, o dual será de minimização.
II - A matriz A da forma dual será a matriz AT do primal.
III - Os coeficientes da função objetivo do primal são os coeficientes da função objetivo do dual.
IV - O número de variáveis de folga de um problema correspondem ao número de variáveis de folga do outro.
Estão corretas as afirmativas
Provas
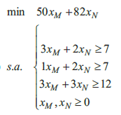
Uma empresa fabrica 3 produtos A, B e C que lhe proporcionam lucros de R$ 7,00, R$ 7,00 e R$ 12,00 por quilograma. Para produzi-los, utiliza dois tipos de matéria-prima M e N, cujas disponibilidades são 50 e 82 litros. A empresa, desejando maximizar seu lucro e respeitando sua disponibilidade de matéria-prima, elabora um modelo de programação linear para determinar o número de unidades de cada produto a ser fabricado. A solução do modelo, resolvido como um problema de minimização, é apresentada abaixo, onde x1 e x2 são as folgas das restrições relativas a M e N, respectivamente.

Considerando que as variáveis duais sejam representadas por xM e xN , o problema dual é representado da seguinte forma:
Provas
A área responsável pelas ações voltadas à saúde do trabalhador de uma grande Companhia promoveu, no último ano, um programa de reeducação alimentar para os seus funcionários. A tabela abaixo apresenta uma amostra contendo as medições dos pesos, em kg, de 10 funcionários antes e depois de participarem do referido programa.

Com base nos dados da tabela, aplicou-se o teste não paramétrico do Sinal para testar as seguintes hipóteses:
H0: O programa não contribuiu para a redução do peso dos funcionários;
H1: O programa contribuiu para a redução do peso dos funcionários.
O p-valor associado ao teste é dado por
Provas
Uma empresa fabrica 3 produtos A, B e C que lhe proporcionam lucros de R$ 7,00, R$ 7,00 e R$ 12,00 por quilograma. Para produzi-los, utiliza dois tipos de matéria-prima M e N, cujas disponibilidades são 50 e 82 litros. A empresa, desejando maximizar seu lucro e respeitando sua disponibilidade de matéria-prima, elabora um modelo de programação linear para determinar o número de unidades de cada produto a ser fabricado. A solução do modelo, resolvido como um problema de minimização, é apresentada abaixo, onde x1 e x2 são as folgas das restrições relativas a M e N, respectivamente.

Aplicando o teorema das folgas complementares, conclui-se que o(a)
Provas
Muito embora, em seu início, a adoção de práticas de qualidade empresarial tenha sido olhada, de certo modo com descrédito pelos empresários, logo se percebeu que a adoção de programas de gestão da qualidade poderia representar significativos ganhos em vantagens competitivas, de modo que várias iniciativas de melhoria contínua se popularizassem rapidamente. A respeito da Gestão da Qualidade Total (TQM), considere as afirmativas abaixo.
I - Estabelece objetivos abrangentes, determinando ações necessárias para alcançá-los.
II - Prevê o treinamento necessário para cada ação prevista.
III - A implementação de programas de qualidade total tende a aumentar o custo de produção.
IV - Pode ser implantado sem a participação da gerência média.
Estão corretas APENAS as afirmativas
Provas
Órbitas Ltda. é uma empresa com 40 anos de experiência na produção de lentes para óculos, telescópios, microscópios e instrumentos afins. A empresa sempre teve elevada preocupação com o bem-estar de seus empregados, cumprindo fielmente suas obrigações e investindo em treinamento, P&D, além de possuir programas de benefícios e qualidade de vida para todos os seus funcionários. Por conta disso, seus produtos logo se mostraram claramente superiores aos da concorrência, além de conseguirem atrair para seus quadros os melhores talentos da área. No entanto, a empresa considera que, no contexto da nova ordem mundial, a filosofia da Órbitas Ltda. exige que a empresa adote práticas de responsabilidade social. A empresa espera que, com isso, possa não só contribuir com a sociedade, mas também melhorar ainda mais a imagem da empresa diante dos consumidores e do mercado global. Dentre as práticas de responsabilidade social que a empresa pode eleger, NÃO é indicada a de
Provas
A fase introdutória do ciclo de vida de um produto corresponde a uma alta incerteza. À medida que um produto amadurece no mercado, atingindo ponto de alto consumo em seu ciclo de vida, as características de demanda se alteram e, nesse estágio, normalmente constata-se que a(o)
Provas
Os fornecedores são responsáveis pela qualidade dos materiais entregues na empresa e estão comprometidos com a qualidade final do produto montado. Atualmente, as empresas adotam como padrão do sistema de qualidade o estabelecido pela norma internacional da série ISO 9000, compatibilizando-a com as normas brasileiras, NBR de qualidade. Esses critérios envolvem a avaliação dos fornecedores pela empresa. Nesse modelo, é esperado que o fornecedor
Provas
Não obstante a Administração de Recursos Humanos tenha tido grandes avanços nas últimas décadas, sempre seguidos de exemplos concretos de sucesso empresarial, nos dias de hoje, ainda há empresários que resistem à ideia de treinar seus empregados e investir em T&D, por terem medo de perdê-los para a concorrência, preferindo contratar alguém com a referida qualificação diretamente no mercado. Com isso, ainda são poucos os que percebem que práticas de treinamento e desenvolvimento podem representar redução de custos e aumento de produtividade. No planejamento dos processos de treinamento e desenvolvimento de pessoas deve(m)-se considerar
Provas
Caderno Container