Foram encontradas 560 questões.
Para que um sistema elétrico opere adequadamente, cada dispositivo de comando e proteção deve realizar a sua função específica, conforme as recomendações dos fabricantes. Sobre o assunto, assinale a afirmativa correta.
Provas
Questão presente nas seguintes provas
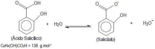
A aspirina é um medicamento largamente usado como analgésico e seu nome químico é ácido acetilsalicílico. Acredita-se que suas propriedades analgésicas se devem ao ácido salicílico, C6H4(OH)CO2H, formado pela decomposição do ácido acetilsalicílico no estômago.
Considere a solubilidade do ácido salicílico sendo 1,09 g em 500 mL de água.

A concentração molar dessa solução e o efeito da diminuição do pH sobre o equilíbrio, mostrado acima, são, respectivamente:
Provas
Questão presente nas seguintes provas
A NBR 10126/87 determina aspectos da cotagem em desenhos técnicos. Segundo essa norma, considere:
I - As cotas ortogonais às margens do desenho podem ser dispostas de modo a serem lidas tanto a partir da base, quanto a partir da base e/ou lado direito do desenho, desde que em um mesmo desenho se utilize apenas um dos métodos.
II - Linhas de cota podem, a qualquer momento, cruzar as demais linhas do desenho, sem prejuízo à legibilidade deste.
III - Desde que a cota traga o valor numérico correto da medida, as linhas de cota não precisam ser representadas paralelas às dimensões medidas.
IV - A cotagem deve ser localizada na vista ou corte que represente mais claramente o elemento.
Está correto o que se afirma em
Provas
Questão presente nas seguintes provas
Os elementos do Composto de Comunicação de Marketing utilizados pelas empresas para divulgar seus produtos e marcas ao mercado-alvo são: propaganda, publicidade, relações públicas, marketing direto, promoção de vendas, merchandising e venda pessoal. A respeito dos conceitos desses elementos, assinale a afirmativa correta.
Provas
Questão presente nas seguintes provas
Para se calcular a área sob a escada da figura, foi considerada a soma das áreas dos n retângulos verticais de largura igual a 1. Mas, ao se fazer essa soma, a área de um retângulo foi somada duas vezes, chegando-se ao resultado incorreto 624.

Considere, se necessário: !$ \sqrt{4993}=70,6 !$
A área do retângulo que foi erroneamente somada a mais é:
Provas
Questão presente nas seguintes provas
Uma peça de concreto armado possui seção transversal quadrada com 30 centímetros de lado e está armada com 8 barras da bitola 25 milímetros. O concreto é da classe C35 e o aço da armação CA 50. Admitindo não haver risco de instabilidade por flexo-compressão, a resistência da peça à compressão centrada, dada em quilonewton, é o valor situado no intervalo:
Provas
Questão presente nas seguintes provas
Num projeto arquitetônico de uma instituição de ensino superior, o Arquiteto deve se preocupar com a escolha mais apropriada de materiais acústicos absorventes, considerando o grau de absorvibilidade sonora, características estéticas e também funcionais da obra arquitetônica. Sobre outras características requisitadas para esses materiais, considere:
I - Fácil manutenção, baixo grau de atração de roedores e não prejudicial à saúde de instaladores e usuários.
II - Material hidrófugo, não passível de abrigar germes ou vermes, boa relação custo-benefício e resistente.
III - Novidade no mercado, alto grau de resistência ao vento ou fluxo de ar, baixo grau de absorção de luz.
IV - Boa aparência, baixo grau de atração de insetos, alto grau de durabilidade.
São características requisitadas para materiais acústicos absorventes:
Provas
Questão presente nas seguintes provas
A oficina de uma fazenda recebeu três máquinas agrícolas para fazer manutenção. O chefe da oficina prometeu a entrega das máquinas nas datas devidas informadas na tabela abaixo (dias). Depois, ao conversar com os operadores, conseguiu determinar o tempo de processamento exato de cada máquina.
| MÁQUINA | TEMPO DE PROCESSAMENTO | DATA DEVIDA |
| I | 8 | 12 |
| II | 13 | 20 |
| III | 4 | 8 |
Qual será o atraso total, em dias, se as máquinas forem processadas na ordem de chegada (I, II, III) e qual será o menor atraso, em dias, se a ordem for mudada, respectivamente?
Provas
Questão presente nas seguintes provas
Em relação ao processo de licitação, marque V para as afirmativas verdadeiras e F para as falsas.
( ) A modalidade de licitação Pregão Eletrônico aplica-se às obras de engenharia com valores até R$ 500.000,00.
( ) Durante a abertura das propostas, poderão permanecer no recinto da licitação apenas os representantes das empresas que apresentaram proposta e a comissão de licitação.
( ) A Lei nº 8.666/93 regulamenta o processo de licitação de obras públicas.
( ) O Convite é adotado quando o valor da obra ou serviço de engenharia é inferior ao da Tomada de Preços.
Assinale a sequência correta.
Provas
Questão presente nas seguintes provas
INSTRUÇÃO: Leia os poemas abaixo e responda à questão.
| I | II | |
|
Todo este sangue de mil raças
corre em minhas veias sou brasileiro mas do Brasil sem colarinho do Brasil negro do Brasil índio
Sérgio Milliet |
'senhor feudal'
Se Pedro Segundo
Vier aqui Com História Eu boto ele na cadeia
Oswald de Andrade
|
Qual a grande contribuição trazida pela 1ª Geração Modernista?
Provas
Questão presente nas seguintes provas
Cadernos
Caderno Container