Foram encontradas 350 questões.
Um analisador de energia instalado no ponto de entrada de uma determinada instalação monofásica, armazenou sinais de tensão e de corrente elétrica. Por meio dos resultados obtidos, esses sinais foram modelados como: v(t) = √2*380*sen(314,16 t) [V] e i(t) = √2*10*sen (314,16 t – 60º) [A]. Dessa forma, determine o fator de potência e a potência ativa eficaz da instalação elétrica.
Provas
Questão presente nas seguintes provas
A Lei 9.433/97 introduziu o conceito de bacia hidrográfica como unidade de planejamento e gestão. O sistema de drenagem de uma bacia é constituído pelo rio principal e seus tributários. O estudo das ramificações e do desenvolvimento do sistema é importante, pois ele indica a maior ou menor velocidade com que a água deixa a bacia hidrográfica. Observando a Figura 1, que apresenta uma rede de drenagem, analise a configuração e classifique a ordem correta da Hierarquia Fluvial dos pontos A, B, C e D .

Fonte:www.ufscar.br/aprender/aprender/2010/06/bacias-hidrografica
Provas
Questão presente nas seguintes provas
A dança está inserida na escola tanto como uma das quatro linguagens artísticas na disciplina de Artes, quanto como um dos conteúdos da disciplina de Educação Física (Brasil, 2002). Dessa forma, encontramos na literatura recente que trata da Educação Física Escolar, mais especificamente no ensino médio, propostas metodológicas para o desenvolvimento da dança na escola, orientando sua condução de forma a atingir, entre outros, os seguintes objetivos:
I - Resgatar, de forma natural e espontânea, as manifestações expressivas da nossa cultura.
II - Utilizar o corpo em movimento para estimular a expressão de sentimentos e emoções que auxiliam na integração social.
III - Proporcionar ao estudante a compreensão de sua capacidade de movimento, mediante um maior entendimento de como seu corpo funciona.
IV - Compreender as identidades dos diversos grupos que produziram e reproduziram a gestualidade que caracteriza as danças populares e folclóricas.
V - Desenvolver os fundamentos e gestos técnicos de diversos estilos de dança, ampliando os repertórios de coreografias para promover a participação dos estudantes em eventos culturais e festivais de dança.
Assinale a alternativa que contém as assertivas CORRETAS:
Provas
Questão presente nas seguintes provas
Os sistemas tamponantes são essenciais em vários processos bioquímicos. Uma solução tampão é comumente formada pela mistura de um ácido fraco ou base fraca e um sal desse ácido ou base. Considerando que em 1 litro de uma solução tampão existem 0,07 mol de ácido láctico !$ (CH_3CH(OH)COOH) !$ e 0,07 mol de um sal de sódio desse ácido, pode-se afirmar que o pH dessa solução, a 25º C, é igual a:
Dados: !$ K_a !$ !$ = !$ !$ 8,4 \times 10^{-4} !$
!$ K_w !$ !$ = !$ !$ 1,00 \times 10^{-14} !$
!$ log !$ !$ 8,4 = 0,92 !$
Provas
Questão presente nas seguintes provas
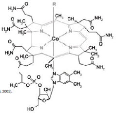
A vitamina !$ B_{12} !$ (também chamada de cobalamina) apresenta coloração vermelha devido à presença do elemento cobalto. Esse metal é importante na prevenção de anemia perniciosa e também de algumas doenças mentais. A estrutura da vitamina, ilustrada a seguir, indica que, o cobalto encontra-se em um complexo cuja geometria é:

( PANIZ, C. et al, J. Bras. Patol. Med. Lab., v. 41, n.5, p. 323-334, 2005).
Provas
Questão presente nas seguintes provas
Os problemas ambientais são antigos, mas é relativamente recente uma preocupação com as questões ambientais e o desenvolvimento sustentável. A esse respeito, assinale a alternativa INCORRETA.
Provas
Questão presente nas seguintes provas
O objeto do conhecimento sociológico é tema de vários estudos e abordagens teóricas, desde o seu nascimento até os dias atuais. Marque a alternativa correta indicativa das condições para a objetividade científica em Max Weber, conforme a obra Ensaios sobre a teoria das Ciências Sociais (2003).
Provas
Questão presente nas seguintes provas
Um bloco de massa 0,6 kg é conectado a uma mola horizontal de constante elástica k=240,0 N/m, sobre uma superfície horizontal, sem atrito. Sabendo que o descolamento do bloco se inicia da posição na qual a mola se encontra relaxada e que no instante t = 0,0 s o bloco passa pelo ponto x = 0,0 m com velocidade igual a 5,0 m/s no sentido positivo do eixo, pode se afirmar que:
Provas
Questão presente nas seguintes provas
“[...] Nas aulas de filosofia onde se promove experiência filosófica o professor não professa. Ele não apregoa, não é depositário de verdades. O professor de filosofia é um super-herói às avessas: ele cria problemas. Mas também é ele quem vai orientar sua solução. Seus poderes mágicos são sua convicção filosófica e educacional. Esse professor tem a chave de um espaço singular onde os alunos poderão entrar para ter ali sua experiência filosófica. O modo de relacionar-se consigo mesmo, com os outros, com texto, dentro desse espaço, será um modo diferente, será um modo filosófico”. (ASPIS, Renata Pereira Lima. O professor de Filosofia: O Ensino de Filosofia no Ensino Médio como experiência filosófica.
Disponível em: http://www.cedes.unicamp.br. Acesso em: 02 de setembro de 2018. Cad. Cedes, Campinas, vol. 24, n. 64, p. 305-320, set/dez. 2004, p. 310).
Partindo do entendimento do texto, citado anteriormente, e do papel da Filosofia no Ensino Médio, considere as afirmações abaixo.
I - A experiência filosófica é o momento no qual os alunos não somente conhecem a história da filosofia, mas colocam em dúvida seus pensamentos e ações.
II - O Ensino de Filosofia que contribuí para a autonomia dos sujeitos é aquele em que o professor ensina o aluno a memorizar as frases filosóficas.
III - O professor que busca a emancipação de seus alunos sempre apresenta a verdade de forma provisória, enquanto uma construção histórica.
IV - O espaço singular, que se refere Aspis, é aquele onde o aluno se apresenta como o sujeito que não tem conhecimento para contribuir no processo de construção do saber.
V - A relação que se constrói no espaço da sala de aula é mediada por uma verticalidade em que os alunos estão apenas para aprender.
Estão corretas:
Provas
Questão presente nas seguintes provas
“A peculiaridade da Guerra Fria era a de que, em termos objetivos, não existia perigo iminente de guerra mundial. Mais que isso: apesar da retórica apocalíptica de ambos os lados, mas sobretudo do lado americano, os governos das duas superpotências aceitaram a distribuição global de forças no fim da Segunda Guerra Mundial, que equivalia a um equilíbrio de poder desigual mas não contestado em sua essência. A URSS controlava uma parte do globo, ou sobre ela exercia influência — a zona ocupada pelo Exércio Vermelho e/ ou outras armadas comunistas no término da guerra — e não tentava ampliá-la com o uso da força militar. Os EUA exerciam controle e predominância sobre o resto do mundo capitalista, além do hemisfério norte e oceanos, assumindo o que restava da velha hegemonia imperial das antigas potências coloniais. Em troca, não intervinha na zona aceita de hegemonia soviética”.
(HOBSBAWM, Eric. A Guerra Fria. In: . Era dos Extremos. O breve século XX (1914-1991). São Paulo: Companhia das Letras, 1998).
O texto acima refere-se ao papel dos EUA e da URSS no período da Guerra Fria, com destaque para o “equilíbrio desigual de poder” entre ambos, o que se revela em sua complexidade de mais de 40 anos de existência, bem como nos diferentes momentos de seus desdobramentos nas diversas regiões do globo terreste. No princípio da Guerra Fria, particularmente entre 1945-1949, há predomíno da chamada pax americana. Marque a alternativa correta que caracteriza a pax americana:
Provas
Questão presente nas seguintes provas
Cadernos
Caderno Container