Foram encontradas 730 questões.
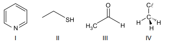
Considere as substâncias I, II, III e IV cujas fórmulas estruturais são representadas nas figuras.

Formam interações intermoleculares do tipo ligação de hidrogênio com a água as substâncias
Provas
Questão presente nas seguintes provas
A renúncia da receita, conforme Lei de Responsabilidade Fiscal, compreende:
Provas
Questão presente nas seguintes provas
Ser solidário é bom, mas não basta
As doações de empresas e indivíduos para financiar o esforço no combate à pandemia de covid-19 já superaram R$ 3 bilhões. É uma cifra formidável. Dessa forma, a elite nacional exibe notável senso de solidariedade em relação aos milhões de brasileiros que dependem de ajuda para sobreviver, não só ao coronavírus, mas à miséria.
O problema é que, passada a pandemia, a elite, hoje solidária, retomará seus afazeres privados, mas nada da duríssima realidade de seus miseráveis compatriotas terá mudado. Assim, a solidariedade ante o padecimento dos desafortunados, embora louvável e necessária, não é suficiente. É preciso que a sociedade, em especial a elite política e econômica, considere inaceitável que a maioria de seus conterrâneos viva apartada daquilo a que chamamos de civilização.
Adentramos o século 21, quando as maravilhas das tecnologias digitais multiplicam o conforto e a sofisticação das sociedades, mas há uma parte significativa dos brasileiros que vive como se ainda estivéssemos no século 19 – sem acesso a equipamentos públicos que a esta altura já deveriam ser universais.
Não se pode considerar aceitável que 100 milhões de brasileiros não tenham acesso a esgoto tratado, como se todas essas pessoas fossem cidadãs de segunda classe. Do mesmo modo, devemos considerar vergonhoso viver em um dos países mais desiguais do mundo, em múltiplos sentidos, não só em renda, como em outros indicadores.
Assim, não se trata mais de uma crise social e sanitária. É uma crise vital. Para enfrentá-la, não basta ser solidário. Está na hora de lutar, para que a sociedade se transforme, de tal maneira que todos os que aqui vivem, sem exceção, sejam afinal tratados com um mínimo de dignidade.
(O Estado de S.Paulo, 31.05.2020. Adaptado)
Assinale a alternativa em que o pronome que substitui o termo em destaque na primeira frase está corretamente posicionado, de acordo com a norma-padrão.
Provas
Questão presente nas seguintes provas
A literatura científica apresenta alguns fatores de clima considerados mais relevantes na predição do nível de estresse. Um deles é a falta de participação no processo decisório, particularmente no relacionado
Provas
Questão presente nas seguintes provas
A ANTAQ e AEB são exemplos das novas modalidades administrativas que tem por características: possuir alto grau de especialização, ser instituída sob a forma de autarquia de regime especial, com função de intervir de forma geral sobre relações jurídicas decorrentes dessas atividades e que devem atuar com imparcialidade em relação às partes interessadas.
Essas novas modalidades são conhecidas como:
Provas
Questão presente nas seguintes provas
As sinusites são afecções que comumente acometem os equinos. Por serem infecções persistentes ou recidivantes, cuidados no estabelecimento do diagnóstico e determinação do tratamento são importantes. Assim, é correto afirmar sobre a sinusite em equinos:
Provas
Questão presente nas seguintes provas
A citologia vaginal é ferramenta importante para o controle do ciclo estral de cadelas. Diferentes tipos celulares podem ser identificados, permitindo determinar a fase do ciclo em que a fêmea canina se encontra. Dessa maneira, pode-se correlacionar a predominância de células
Provas
Questão presente nas seguintes provas
Com relação à leishmaniose visceral canina, os testes recomendados para triagem e diagnóstico, respectivamente, são:
Provas
Questão presente nas seguintes provas

Informações adicionais para o exercício de 2019:
Adições do imobilizado em 2019: R$ 1.980,00.
Receita líquida de vendas: R$ 15.000,00.
Despesa de depreciação no ano: R$ 540,00.
Resultado positivo de equivalência patrimonial: R$ 2.120,00.
Lucro líquido do exercício de 2019: R$ 4.260,00.
Assinale a alternativa que contém o valor aproximado, em reais, do índice de liquidez geral, para o exercício de 2019. Para o cálculo, considere até a segunda casa decimal, bem como o critério de arredondamento.
Provas
Questão presente nas seguintes provas
A partir da leitura de Pedagogia da autonomia, é possível depreender que, de acordo com Paulo Freire,
Provas
Questão presente nas seguintes provas
Cadernos
Caderno Container