Foram encontradas 274 questões.
O processo criar a Estrutura Analítica do Projeto (EAP), assim como todos os processos das áreas de conhecimento em Gerenciamento de Projetos, possui atividades que são classificadas em: Entradas; Ferramentas e Técnicas; e, Saídas. Assinale, a seguir, as duas atividades classificadas como ferramentas e técnicas.
Provas
Questão presente nas seguintes provas
A Resolução Normativa (RN) nº 180/02 dispõe sobre o registro de portadores de diplomas ou certificados de conclusão de Cursos Sequenciais de nível superior. As RNs 222/09, 262/15 e 268/17 dispõem sobre a Carteira Profissional do Químico. A elaboração e publicação destas últimas RNs se deu em função da possibilidade de falsificação nos modelos antigos das carteiras profissionais e da necessidade de adoção de um novo padrão de documento de identidade profissional. Em relação às referidas RNs, assinale a afirmativa INCORRETA.
Provas
Questão presente nas seguintes provas
Nos casos de fermentações para a produção de bioprodutos de alto valor agregado, a concentração destes produtos pode chegar em níveis de concentração muito baixos. A exemplo a vitamina B12 cuja concentração é de dezenas de micromoles por litro. Outro aspecto é que os produtos das fermentações são sensíveis a condições não muito drásticas, dentre outras, de pH, temperatura e tensões cisalhantes. Neste contexto, os Processos de Separação por Membranas constituem uma alternativa a ser considerada para a purificação destes produtos. Em relação a tais processos de separação, marque V para as afirmativas verdadeiras e F para as falsas.
( ) A ultrafiltração vem sendo utilizada nas indústrias têxtil e automobilística com principal interesse no permeado, pela possibilidade de reciclo da água.
( ) Pressões osmóticas de soluções, contendo solutos de baixa massa molar apresentam valores reduzidos. Por essa razão, as pressões de operação em osmose inversa são bem inferiores às requeridas na ultrafiltração.
( ) A nanofiltração tem sido utilizada para obtenção de água potável a partir de águas superficiais. Existem em algumas cidades unidades de nanofiltração em atividade com capacidade de produção de 150 mil m³/dia de água potável.
A sequência está correta em
Provas
Questão presente nas seguintes provas
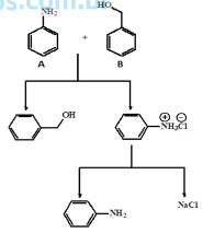
Considere o fluxograma.

Analise as afirmativas a seguir.
I. Os compostos A e B são, respectivamente, a anilina e o álcool benzílico.
II. Os compostos A e B são líquidos pouco solúveis em água.
III. A anilina apresenta caráter básico e reage com solução aquosa de HCl, produzindo um sal de amônio quaternário.
IV. A adição de NaOH à fase orgânica contendo o cloreto de anilínio regenera a amina que pode ser extraída com éter dietílico.
Estão corretas as afirmativas
Provas
Questão presente nas seguintes provas
A armazenagem é uma das principais atividades que dão apoio ao processo logístico, pois concentra de 10% a 40% dos custos totais; por isso, o uso de ferramentas, técnicas ou metodologias que tornem a armazenagem mais eficiente, principalmente em relação aos níveis ideais de estoque, podem resultar em economias consideráveis para as empresas que atuam no setor logístico. São consideradas metodologias que contribuem para uma melhor gestão dos níveis de estoque, EXCETO:
Provas
Questão presente nas seguintes provas
De acordo com Marilena Leite Paes (p. 16, 2002), durante um período muito longo as noções de arquivo, biblioteca e museus se confundiram, não só pela finalidade e forma física dos documentos, mas também porque tinham o mesmo objetivo. São características dos arquivos, EXCETO:
Provas
Questão presente nas seguintes provas
O padrão IEEE 802.11n, mediante sua publicação, teve como objetivo aumentar a velocidade obtida com os padrões 802.11g, 802.11a, que eram de 54 Mbps para até 600 Mbps, sendo que, para isso, eram utilizados quatro canais de dados com espaçamento de 40 MHz entre eles. A publicação deste padrão foi realizada em:
Provas
Questão presente nas seguintes provas
Observe a tabela apresentada.

O valor apresentado em A4, após execução da expressão =MÉDIA(A1:A3) *2, é:
Provas
Questão presente nas seguintes provas
Inúmeras sãos as leis e normativos que todos os brasileiros devem se atentar, como: Lei nº 4.320/64; Lei Complementar nº 101/2000; Instrução Normativa nº 01/1997 – STN; Decreto Federal nº 93.872/1986 e alterações, Lei nº 6.404 de 15/12/76 e suas alterações, Lei nº 8.666/93 e Lei nº 10.520/02. Especificamente sobre essa legislação, assinale a afirmativa INCORRETA.
Provas
Questão presente nas seguintes provas
A família foi pouco a pouco chegando. Os que vieram de Olaria estavam muito bem vestidos porque a visita significava ao mesmo tempo um passeio a Copacabana. A nora de Olaria apareceu de azul-marinho, com enfeite de paetês e um drapejado disfarçando a barriga sem cinta. O marido não veio por razões óbvias: não queria ver os irmãos. Mas mandara sua mulher para que nem todos os laços fossem cortados — e esta vinha com o seu melhor vestido para mostrar que não precisava de nenhum deles, acompanhada dos três filhos: duas meninas já de peito nascendo, infantilizadas em babados cor-de-rosa e anáguas engomadas, e o menino acovardado pelo terno novo e pela gravata.
Tendo Zilda — a filha com quem a aniversariante morava — disposto cadeiras unidas ao longo das paredes, como numa festa em que se vai dançar, a nora de Olaria, depois de cumprimentar com cara fechada aos de casa, aboletou-se numa das cadeiras e emudeceu, a boca em bico, mantendo sua posição de ultrajada. “Vim para não deixar de vir”, dissera ela a Zilda, e em seguida sentara-se ofendida. As duas mocinhas de cor-de-rosa e o menino, amarelos e de cabelo penteado, não sabiam bem que atitude tomar e ficaram de pé ao lado da mãe, impressionados com seu vestido azul-marinho e com os paetês.
Depois veio a nora de Ipanema com dois netos e a babá. O marido viria depois. E como Zilda — a única mulher entre os seis irmãos homens e a única que, estava decidido já havia anos, tinha espaço e tempo para alojar a aniversariante —, e como Zilda estava na cozinha a ultimar com a empregada os croquetes e sanduíches, ficaram: a nora de Olaria empertigada com seus filhos de coração inquieto ao lado; a nora de Ipanema na fila oposta das cadeiras fingindo ocupar-se com o bebê para não encarar a concunhada de Olaria; a babá ociosa e uniformizada, com a boca aberta.
E à cabeceira da mesa grande a aniversariante, que fazia hoje oitenta e nove anos.
Zilda, a dona da casa, arrumara a mesa cedo, enchera-a de guardanapos de papel colorido e copos de papelão alusivos à data, espalhara balões sugados pelo teto, em alguns dos quais estava escrito “Happy Birthday!”, em outros, “Feliz Aniversário!”. No centro havia disposto o enorme bolo açucarado. Para adiantar o expediente, enfeitara a mesa logo depois do almoço, encostara as cadeiras à parede, mandara os meninos brincar no vizinho para não desarrumar a mesa.
E, para adiantar o expediente, vestira a aniversariante logo depois do almoço. Pusera-lhe desde então a presilha em torno do pescoço e o broche, borrifara-lhe um pouco de água-de-colônia para disfarçar aquele seu cheiro de guardado — sentara-a à mesa. E desde as duas horas a aniversariante estava sentada à cabeceira da longa mesa vazia, tesa na sala silenciosa.
De vez em quando consciente dos guardanapos coloridos. Olhando curiosa um ou outro balão estremecer aos carros que passavam. E de vez em quando aquela angústia muda: quando acompanhava, fascinada e impotente, o voo da mosca em torno do bolo.
(Trecho do conto Feliz Aniversário, de Clarice Lispector em Leituras de escritor, Ana Maria Machado, São Paulo: Edições SM, pp. 157-158.)
Acerca da personagem denominada Zilda, a filha da aniversariante, pode-se afirmar que:
Provas
Questão presente nas seguintes provas
Cadernos
Caderno Container