Foram encontradas 470 questões.
Provas
Provas
Provas
Provas
Provas
Considerando um processo estocástico {Xn: n = 1, 2, ...}, tal que E(|Xn|) < !$ \infty !$ e E(Xn + 1| X1, X2, ..., Xn), isto é, um processo martingale, julgue o item seguinte.
Considere um jogo no qual se ganham k unidades com probabilidade p e se perdem w unidades com probabilidade 1 ! p. Nesse caso, o ganho a cada passo do jogo será um processo martingale, para k … w, somente se !$ p = \dfrac {k} {k+w} !$.
Provas
Provas
Provas
Pesquisadores desenvolveram um novo dispositivo para medir a velocidade de uma aeronave e, em um oratório especial, submeteram uma amostra aleatória de 36 réplicas da aeronave (amostra A) a um teste de operação, medindo a temperatura mínima necessária para o bom funcionamento de cada réplica.
Considerando essa situação, julgue o item que se segue, acerca de inferência estatística.
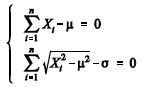
Os estimadores de momentos para a média !$ \mu !$ e desvio padrão !$ \sigma !$ de uma distribuição normal, com base em uma amostra aleatória simples X1, X2, ..., Xn, podem ser obtidos a partir da solução do sistema de equações de estimação apresentado abaixo.

Provas
Julgue o item seguinte, relativo à aplicabilidade das normas constitucionais.
Enquanto não dispuserem de normatividade para viabilizar o exercício do direito ou do benefício que consagrem, as normas de eficácia limitada permanecem inaplicáveis, razão pela qual são consideradas normas de aplicação indireta, mediata ou diferida.
Provas
Caderno Container