Magna Concursos

Foram encontradas 120 questões.

1318777 Ano: 2011
Disciplina: Estatística
Banca: CESPE / CEBRASPE
Orgão: CBM-DF

fonte de

variação

graus de

liberdade

soma de

quadrados

quadrado

médio

teste F
regressão 1 1,4 1,4 46,2
resíduo 28 0,8 0,03
total 2,2

A tabela de análise de variância (ANOVA) ilustrada acima resulta de uma regressão linear simples, cuja variável resposta — y — é a proporção de área devastada por uma queimada, e a variável explicativa — x — representa a umidade relativa do ar registrada momentos antes da ocorrência da queimada. Com base nessas informações e na tabela acima, e sabendo que as médias amostrais de y e x são 0,48 e 28,9, respectivamente, julgue o item que se segue.

Considerando-se que os resultados mostrados na tabela ANOVA tenham sido produzidos com base em estimativas de mínimos quadrados ordinários (MQO) para os coeficientes do modelo de regressão, e assumindo-se que a variável resposta segue uma distribuição normal, então, se fosse empregado o método da máxima verossimilhança, a estimativa do coeficiente angular seria diferente da estimativa de MQO.

 

Provas

Questão presente nas seguintes provas
1316355 Ano: 2011
Disciplina: Estatística
Banca: CESPE / CEBRASPE
Orgão: CBM-DF

Considerando um processo estocástico {Xn: n = 1, 2, ...}, tal que E(|Xn|) < !$ \infty !$ e E(Xn + 1| X1, X2, ..., Xn), isto é, um processo martingale, julgue o item seguinte.

Considere a seguinte situação hipotética.

A população de uma cidade tem sido ameaçada por duas espécies de animais: A e B. Na floresta próxima a essa cidade, existem a casais de animais do tipo A e b casais de animais do tipo B. A cada instante, um casal de uma das espécies é selecionado ao acaso (pela natureza) e gera um novo casal.

Nessa situação, o processo {Pn: n = 1, 2, ...}, que representa a probabilidade de, no instante n, um casal de animais do tipo A procriar, é um processo martingale.

 

Provas

Questão presente nas seguintes provas

Julgue o item a seguir, relativo à competência e à organização básica do CBMDF.

Uma das competências do CBMDF é executar as atividades de defesa civil.

 

Provas

Questão presente nas seguintes provas
O Partido Comunista da China completa noventa anos em meio à maior onda repressiva desde o massacre da Praça da Paz Celestial, em 1989, e a uma ofensiva de resgate de símbolos maoístas que tingiu o país de vermelho. Há sessenta anos no poder, o partido não dá nenhum sinal de que vá permitir o surgimento de outras forças políticas.
O Estado de S.Paulo, 26/6/2011, capa (com adaptações).
Tendo o texto acima como referência inicial, julgue o item seguinte, considerando a amplitude do tema abordado, além de aspectos marcantes do mundo contemporâneo.
O atual modelo de desenvolvimento chinês, que pressupõe determinado grau de abertura à participação, na economia, de capitais privados, nacionais e internacionais, alavanca a inserção do país na ordem econômica global.
 

Provas

Questão presente nas seguintes provas
Conforme a mitologia grega, o herói e semideus Prometeu, um dos Titãs, irmão de Atlas, roubou o fogo do domínio dos deuses e entregou-o aos homens, tendo sido, por isso, punido pelo deus maior, Zeus. O herói foi atado a uma rocha, ficando exposto aos ataques diários de um abutre que lhe devoraria eternamente o fígado. Como consequência do castigo para os mortais, conforme a lenda, hoje em dia, o fogo escapa ao nosso domínio e, transformando-se no monstro dos incêndios, ceifa centenas de vidas e causa prejuízos imensos.
Asdrúbal da Silva Ortiz. Internet: <www.defesacivil.rj.gov.br> (com adaptações).
Julgue o item que se segue, relativo às estruturas do texto acima.
O emprego da expressão “nosso domínio” consiste em recurso discursivo para promover aproximação entre autor e leitor do texto.
 

Provas

Questão presente nas seguintes provas
Texto para o item.
In recent years it has become quite clear that the provision of health care is one of the absolutely key issues in modern society. In some countries the provision of health care is completely free at the point of use. Generally speaking this means that people who visit the doctor, or have to go into hospital, do not hand over money to the people who treat them. Instead, the system is entirely financed by central government, and paid out of revenues (taxes collected from everyone). In some health systems everyone is treated free, regardless of their ability to pay, while in other systems, patients pay a standard charge, even for extremely expensive drug treatments, while those who are quite unable to pay receive free treatment. In other countries the system is totally private and everyone has to pay for their treatment financially speaking, this means that patients either have to pay for their own insurance, which will pay for their bills when they are ill, or pay bills from their pockets. In many countries it is quite usual for both systems to exist side by side, with the state providing very basic services, and the well-to-do, naturally, paying for services of a higher quality. This is sometimes known as a “two tier” system.
M. Vince. Macmillan english grammar in context. Advanced. Oxford: Macmillan Education, 2008 (adapted).
Based on the text, judge the item below.
Those who pay taxes are not entitled to receive free treatment.
 

Provas

Questão presente nas seguintes provas

A respeito da organização político-administrativa do Estado Federal brasileiro, julgue o item que se segue.

Compete aos estados-membros, por meio de lei estadual, respeitado o período a ser fixado em lei complementar federal, criar, fundir e desmembrar municípios, após consulta prévia às populações dos municípios envolvidos e divulgação e publicação dos respectivos estudos de viabilidade.

 

Provas

Questão presente nas seguintes provas
1307339 Ano: 2011
Disciplina: Estatística
Banca: CESPE / CEBRASPE
Orgão: CBM-DF

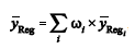
A respeito de amostragem estratificada, considerando que o estimador regressão para a média populacional de uma variável Y seja dado pela expressão Enunciado 1307339-1, em que !$ \bar {y}_{Reg_i} !$ é o estimador de regressão para a média populacional de Y relativo ao estrato i e !$ \omega_i !$ é o fator de expansão, julgue o próximo item.

A variância do estimador de regressão para a média populacional de Y pode ser representado pela expressão Enunciado 1307339-2em que ni representa o tamanho do estrato i, !$ \sigma^2_{Yi} !$ e !$ \sigma^2_{xi} !$ são,

respectivamente, as variâncias de Y e X no estrato i, !$ \sigma^2_{XYi} !$ representa a covariância entre Y e X no estrato i; e !$ \beta_i !$ é um

coeficiente. Quando !$ \beta_i = \dfrac {\sigma_{XYi}} {\sigma^2_{Xi}} !$ essa variância atinge seu valor mínimo, cujo resultado é Enunciado 1307339-3 em que !$ \rho^2_{XYi} = \dfrac {\sigma^2_{XYi}} {\sigma^2_{Xi} \times \sigma^2_{Yi}} !$

 

Provas

Questão presente nas seguintes provas

Considerando as disposições constitucionais sobre a administração pública e os servidores públicos, julgue o item subsequente.

O servidor público estável somente perderá o cargo mediante sentença judicial transitada em julgado.

 

Provas

Questão presente nas seguintes provas
1305387 Ano: 2011
Disciplina: Estatística
Banca: CESPE / CEBRASPE
Orgão: CBM-DF

Com relação ao gerador de números pseudoaleatórios, em que se utiliza a relação Xn+1 = [a × Xn + b] mod m, julgue o item que se segue.

O período da sequência de números pseudoaleatórios é igual a !$ \dfrac {a} {m} !$.

 

Provas

Questão presente nas seguintes provas