Foram encontradas 1.128 questões.
O processamento mínimo é um grupo de operações que visa a eliminar as partes comumente não consumidas, como cascas, talos e sementes de frutas e hortaliças. A esse respeito, assinale a alternativa incorreta.
Provas
Questão presente nas seguintes provas
Dos termos abaixo, qual é utilizado para indicar o andamento mais lento?
Provas
Questão presente nas seguintes provas
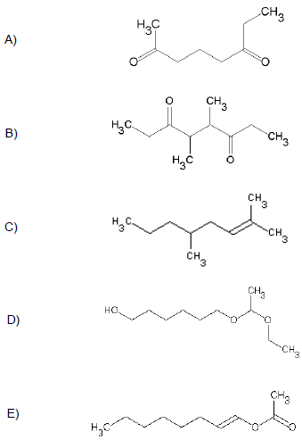
Correlacione as cadeias carbônicas apresentadas a seguir com as suas respectivas classificações.

( ) Cadeia aberta, ramificada, homogênea, saturada.
( ) Cadeia aberta, ramificada, heterogênea, saturada.
( ) Cadeia aberta, normal, homogênea, saturada.
( ) Cadeia aberta, normal, heterogênea, insaturada.
( ) Cadeia aberta, ramificada, homogênea, insaturada.
A sequência correta, de cima para baixo, é:
Provas
Questão presente nas seguintes provas
Cada espécie deve ter apenas um nome científico. Mesmo assim, pode acontecer de haver no herbário espécimes de uma mesma espécie nomeados com dois ou mais nomes diferentes. Que medidas devem ser tomadas para evitar que isso ocorra?
Provas
Questão presente nas seguintes provas
O carneiro hidráulico é utilizado para elevar a água, utilizando a própria energia hidráulica. O aparelho deverá ser instalado na cota mais baixa possível. A diferença de nível aproveitável para acionar o carneiro hidráulico não deverá ser inferior a:
Provas
Questão presente nas seguintes provas
Assinale a alternativa que indica o tempo decorrido, em termos de quantas constantes de tempo, para que possa ser possível dizer que a carga no circuito está estabilizada, seja para carga ou descarga.
Provas
Questão presente nas seguintes provas
A coleta de amostras para avaliação da fertilidade dos solos normalmente ocorre em uma profundidade de 0 a 20 cm. No entanto, pode ser importante uma sondagem em maior profundidade, de 20-40 cm ou até mesmo de 40-60 cm. A esse respeito, assinale a alternativa correta.
Provas
Questão presente nas seguintes provas
Considerando-se a Depressão Secundária, é correto afirmar que:
Provas
Questão presente nas seguintes provas
A análise sensorial é realizada em função das respostas transmitidas pelos indivíduos às várias sensações que se originam de reações fisiológicas, e são resultantes de certos estímulos, gerando a interpretação das propriedades intrínsecas aos produtos (IAL, 2013). De acordo com os tipos e aplicações de testes sensoriais, assinale a alternativa incorreta.
Provas
Questão presente nas seguintes provas
A produção de coelhos para corte no Brasil ainda é muito baseada na utilização de raças especializadas de tipo corporal médio, ou seja, categoria de animais que possuem entre 3,0 e 5,0 kg de peso vivo adulto e que produzem animais jovens para carne entre 65 e 75 dias de idade, com peso vivo mínimo de 2kg e 55% de rendimento de carcaça. Dentre as raças listadas a seguir, quais correspondem a essas características?
Provas
Questão presente nas seguintes provas
Cadernos
Caderno Container