Foram encontradas 1.580 questões.
O lide, abertura do texto jornalístico, deve necessariamente:
Provas
Questão presente nas seguintes provas
Ao realizar uma análise cinesiológica da atividade de martelar, o terapeuta ocupacional analisa cada estágio da atividade, subdividindo-a em etapas. No estágio de bater o prego, avalia-se:
Provas
Questão presente nas seguintes provas
Em dias de chuva e à noite, os equipamentos de desumidificação instalados em uma reserva técnica de arqueologia devem marcar:
Provas
Questão presente nas seguintes provas
Segundo Ribeiro, em seu dicionário do artesanato indígena, a categoria dos trançados tem como uma de suas subdivisões os que são utilizados no processamento da mandioca, que por definição são:
Provas
Questão presente nas seguintes provas
O conjunto de sintomas, de agrupamento e gravidade variáveis, ocorrendo em abstinência absoluta ou relativa do álcool, após uso repetido e usualmente prolongado e/ou uso de altas doses. Podendo ser complicada com o aparecimento de convulsões. Os sintomas mais freqüentes são: hiperatividade autonômica; tremores; insônia; alucinações ou ilusões visuais, táteis ou auditivas transitórias; agitação psicomotora; ansiedade; e convulsões tipo grande mal, é:
Provas
Questão presente nas seguintes provas
Com base na NBR 8950/2004, identifique a alternativa que indica a inclinação máxima para rampas em rebaixamento de calçadas:
Provas
Questão presente nas seguintes provas
O domínio dos jargões mais comuns nas diversas áreas de atividades presentes no noticiário do dia a dia é fundamental para o exercício do cargo de redator, ou redatora. Marque a definição correta.
Provas
Questão presente nas seguintes provas
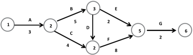
Na programação das intervenções nos equipamentos, para manutenção corretiva ou preventiva, é fundamental o planejamento do tempo de sua execução. A confecção do Diagrama de Rede objetiva a identificação do sequenciamento das atividades, o prazo de execução dos serviços, as atividades críticas e as folgas das atividades para o reparo do equipamento. De acordo com o diagrama de rede a seguir, o prazo de duração do serviço é de: Obs: as durações apresentadas no diagrama estão em dias.

Provas
Questão presente nas seguintes provas
1487851
Ano: 2014
Disciplina: TI - Organização e Arquitetura dos Computadores
Banca: UFRJ
Orgão: UFRJ
Disciplina: TI - Organização e Arquitetura dos Computadores
Banca: UFRJ
Orgão: UFRJ
Provas:
A memória primária (ou principal) de um microcomputador pode ser classificada em dois tipos: memórias RAM e ROM. A respeito da memória RAM é INCORRETO afirmar que:
Provas
Questão presente nas seguintes provas
Na LIBRAS, observa-se o uso bastante produtivo de metáforas. Algumas delas são semelhantes às encontradas na Língua Portuguesa (LP) e, assim como em LP, os seus respectivos significados são expressos através de uma descrição mimética representativa. Assinale a opção em que esse fenômeno pode ser observado.
Provas
Questão presente nas seguintes provas
Cadernos
Caderno Container