Foram encontradas 375 questões.
Saldo credor significa:
Provas
Questão presente nas seguintes provas
Os testes de aglutinação caracterizam-se pela formação de agregados visíveis como resultado da interação de anticorpos específicos e partículas insolúveis que contêm determinantes antigênicos na sua superfície. Todas as alternativas abaixo são exemplos de reação por aglutinação, exceto:
Provas
Questão presente nas seguintes provas
Quando verificamos atualmente uma lanchonete que trabalha com cadeia de refeição rápida, entendemos seus processos de racionalizar e especializar o serviço. É uma linha produtiva em que há uma regulação social e de conduta de seus integrantes.
Provas
Questão presente nas seguintes provas
Um dos itens necessários à avaliação do Ensino Superior, ou de outro nível de ensino, é a existência de um projeto pedagógico, que pressupõe:
Provas
Questão presente nas seguintes provas
O pagamento de uma dívida com juros de mora representa um fato contábil:
Provas
Questão presente nas seguintes provas
Suponha que o PNB Nominal seja de R$ 6.500 bilhões em 1999 e de R$ 8.000 bilhões em 2000. Se o índice de preços foi de 111 (sendo o ano de 1999 base 100), então o PNB Real do ano 2000 é igual a:
Provas
Questão presente nas seguintes provas
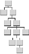
As organizações buscam fazer enxugamento de pessoal, uma vez que a lógica atual é diminuir custos, principalmente em relação a funcionários. Nessa tendência, algumas organizações possuem uma alta especialização horizontal. Que gráfico representa essa tendência de forma mais explícita?
I) 

II) 

III) 

IV) 

Provas
Questão presente nas seguintes provas
Com base na Constituição Federal, é correto afirmar:
Provas
Questão presente nas seguintes provas
Segundo o Código de Ética Profissional, são DIREITOS do Secretário Executivo:
I. Garantia e defesa de suas atribuições estabelecidas na Lei de Regulamentação.
II. Combater o exercício ilegal da profissão.
III. Participar de entidades representativas da categoria.
IV. Respeitar sua profissão e exercer suas atividades, sempre procurando o aperfeiçoamento.
De acordo com a leitura dessas sentenças, afirma-se que:
Provas
Questão presente nas seguintes provas
A contagem de reticulócitos avalia:
Provas
Questão presente nas seguintes provas
Cadernos
Caderno Container