Foram encontradas 1.426 questões.
Conforme a Resolução Conama n° 357/2005, os efluentes de qualquer fonte poluidora somente poderão ser lançados nos corpos de água de
Provas
Questão presente nas seguintes provas
O ICMS é um imposto de competência dos estados e do Distrito Federal, capitulada na Constituição Federal/88, art. 155 II. Essa competência implica, na prática, que cada estado e o Distrito Federal tenham o direito constitucional de legislar sobre o ICMS, redundando na existência de legislações próprias, autônomas e independentes. Entretanto, pelas determinações da Constituição Federal (art. 155, IV, V, VI e VII), compete ao Senado Federal estabelecer as alíquotas mínimas e máxima, aplicáveis às operações e prestações, interestaduais e de exportação. Com base nesses pressupostos, considere uma empresa comercial, situada no estado de Minas Gerais, que vendeu mercadorias para uma empresa prestadora de serviços, localizada no estado do Espírito Santo.
Nessa operação interestadual, o ICMS cabível será calculado pela alíquota
Nessa operação interestadual, o ICMS cabível será calculado pela alíquota
Provas
Questão presente nas seguintes provas
832127
Ano: 2011
Disciplina: Administração de Recursos Materiais
Banca: CESGRANRIO
Orgão: Transpetro
Disciplina: Administração de Recursos Materiais
Banca: CESGRANRIO
Orgão: Transpetro
As situações de compra envolvem riscos que variam de intensidade. Quanto mais rotineira e de baixo valor é a compra, menor é o risco envolvido.
Representa uma compra nova a(o)
Representa uma compra nova a(o)
Provas
Questão presente nas seguintes provas
Um dos objetivos da Deliberação no 506, emitida pela Comissão de Valores Mobiliários, é estabelecer o tratamento contábil e a divulgação de mudanças em práticas e estimativas contábeis pelas empresas.
Tal preocupação visa a aumentar a qualidade das informações contábeis das empresas, atendendo ao princípio contábil da
Tal preocupação visa a aumentar a qualidade das informações contábeis das empresas, atendendo ao princípio contábil da
Provas
Questão presente nas seguintes provas
Quando na apuração do crédito do exercício são considerados apenas os pagamentos e recebimentos realizados no período, essa apuração é reconhecida como
Provas
Questão presente nas seguintes provas

Provas
Questão presente nas seguintes provas
!$ { \begin{bmatrix} \vec{A}\\ \vec {B}\\\vec {C} \end{bmatrix}} = {\begin{bmatrix} 1\,\,1\,\,1\\ a^2\,\,1\,\,1\\ a\,\,a^2\,\,1 \end{bmatrix}} { \begin{bmatrix} X\\y\\Z \end{bmatrix}} !$
A expressão acima apresenta a igualdade entre a matriz fasorial e o produto das matrizes transformação e componentes simétricos. Os valores de x, y e z são respectivamente os componentes simétricos da fase
Provas
Questão presente nas seguintes provas
Analise as afirmações abaixo sobre elemento temporizador utilizado na programação de Controladores Lógicos Programáveis (CLP) em Linguagem Ladder.
I - O elemento temporizador possui uma entrada que, ao se energizar, habilita o acúmulo do tempo percorrido.
II - O elemento temporizador possui uma saída que é energizada quando o valor acumulado for igual ao preestabelecido e todas as outras condições de funcionamento do elemento estiverem satisfeitas.
III - O elemento temporizador é do tipo não retentivo, isto é, se a energização do bloco for perdida, o valor acumulado é zerado.
Está correto o que se afirma em
I - O elemento temporizador possui uma entrada que, ao se energizar, habilita o acúmulo do tempo percorrido.
II - O elemento temporizador possui uma saída que é energizada quando o valor acumulado for igual ao preestabelecido e todas as outras condições de funcionamento do elemento estiverem satisfeitas.
III - O elemento temporizador é do tipo não retentivo, isto é, se a energização do bloco for perdida, o valor acumulado é zerado.
Está correto o que se afirma em
Provas
Questão presente nas seguintes provas
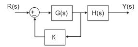
Considere o enunciado para responder a questão a seguir.

O diagrama em blocos da figura acima mostra uma confi-
guração em malha fechada. Sabe-se que
e K é uma constante positiva.
O valor de K que garante os polos em malha fechada posicionados em -10, (-2,5 + j2,5√5) e (-2,5 - j2,5√5) é
O diagrama em blocos da figura acima mostra uma confi-
guração em malha fechada. Sabe-se que
Provas
Questão presente nas seguintes provas

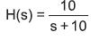
A figura acima mostra o gráfico que corresponde a um sinal periódico de tensão medido na tela de um osciloscópio. Aplicando-se esse sinal de tensão sobre um resistor de 100 Ω, a potência média, em W, dissipada no resistor é
Provas
Questão presente nas seguintes provas
Cadernos
Caderno Container