Foram encontradas 70 questões.
Uma bomba centrífuga, com impelidor de diâmetro D, bombeia um fluido ideal a uma vazão Q, quando a velocidade de rotação é ω .Deseja-se substituir essa bomba por outra bomba de características semelhantes para operar na mesma velocidade, porém, com uma vazão n vezes maior do que Q. Para que a substituição tenha o resultado desejado, o valor do diâmetro do impelidor da nova bomba, em função do diâmetro do impelidor da bomba original, deve ser igual a
Provas
Questão presente nas seguintes provas

Provas
Questão presente nas seguintes provas

Provas
Questão presente nas seguintes provas

Provas
Questão presente nas seguintes provas

Um gás ideal pode ser levado de seu estado inicial de pressão-volume x a um estado final y, através de três processos diferentes, 1, 2 e 3, conforme indicado no diagrama acima.
De acordo com as informações acima, analise as afirmações a seguir.
O trabalho realizado pelo gás nos três processos indicados será o mesmo.
PORQUE
O trabalho realizado por um gás depende apenas de seus estados inicial e final de pressão-volume.
Analisando-se as afirmações acima, conclui-se que
Provas
Questão presente nas seguintes provas

Provas
Questão presente nas seguintes provas
Uma máquina térmica reversível a vapor opera em condições ideais. A máquina absorve calor de um reservatório quente a 546 °C a uma pressão de 20 atm, realiza trabalho e expele calor a uma temperatura de 273 °C a uma pressão de 1 atm. Considere que a temperatura do zero absoluto seja igual a -273 °C. De acordo com essas informações, o valor do máximo rendimento possível para essa máquina térmica é
Provas
Questão presente nas seguintes provas
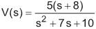
Considere o sinal causal dado por v(t) = 10e-2t - 5e-5t para t > 0 e nulo para t < 0. A transformada de Laplace de v(t) é
Provas
Questão presente nas seguintes provas

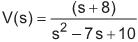
O circuito da figura acima é composto por um amplificador operacional considerado ideal. Para que a função de transferência desse circuito seja
Provas
Questão presente nas seguintes provas


Provas
Questão presente nas seguintes provas
Cadernos
Caderno Container