Foram encontradas 760 questões.
Glória foi vítima de um crime de estupro praticado no interior de sua residência. Sendo a natureza da ação pública condicionada à representação, compareceu, então, à Delegacia, narrou o ocorrido e manifestou o interesse na apuração do fato, razão pela qual foi instaurado inquérito. Considerando a hipótese narrada e as características do inquérito policial, é correto afirmar que:
Provas
Questão presente nas seguintes provas
Leonardo foi condenado pela prática de um crime de roubo majorado pelo emprego de arma de fogo. No momento da execução da pena, o juiz verificou que Leonardo já ostentava em sua Folha de Antecedentes Criminais condenações pela prática de um crime de homicídio simples contra seu primo, ocorrido em razão de uma discussão familiar no ano de 2013; de um crime de estupro simples realizado no ano de 2012; e pela prática, no ano de 2011, do crime de extorsão qualificada pela morte. De acordo com a Lei nº 8.072/90, são considerados hediondos os seguintes crimes praticados por Leonardo:
Provas
Questão presente nas seguintes provas
Vinicius foi condenado pela prática de um crime de extorsão simples a pena de 05 anos de reclusão, a ser cumprida em regime inicial fechado, pois, apesar de, antes desses fatos, ser primário e de bons antecedentes, as circunstâncias do crime foram graves. Após cumprimento de 1/6 da pena aplicada, obteve progressão para o regime semi-aberto. Ocorre que, no cumprimento da pena, praticou falta grave, devidamente reconhecida após observância de todas as exigências legais e garantida a ampla defesa. Nesse caso, poderá o juiz da execução determinar a:
Provas
Questão presente nas seguintes provas
- Código PenalCrimes Contra a PessoaContra a Liberdade Individual (arts. 146 ao 154-B)Inviolabilidade dos Segredos (arts. 153 a 154-B)
Segundo o Código Penal, é considerado crime, na área de TI, a seguinte conduta:
Provas
Questão presente nas seguintes provas
A endodontia pode ser definida como a disciplina clínica voltada
para o controle e a prevenção das infecções pulpares e
perirradiculares. Essa definição baseia-se no crescente
conhecimento do papel de micro-organismos na indução, e,
principalmente, na perpetuação das patologias endodônticas.
Sobre a etiologia das infecções endodônticas persistentes, é
correto afirmar que:
Provas
Questão presente nas seguintes provas
Analise as afirmativas a seguir sobre os mancais de deslizamento e rolamento.
1 - Os mancais de rolamento suportam esforços radiais e axiais.
2 - Os mancais de deslizamento exigem maior espaço na direção axial do que os de rolamento.
3 - Os mancais de rolamento têm menor custo, principalmente devido à padronização.
4 - Os mancais de deslizamento normalmente suportam maiores cargas do que os de rolamento.
Está correto somente o que se afirma em:
Provas
Questão presente nas seguintes provas
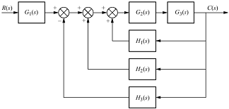
Um sistema de controle é representado conforme o diagrama de
blocos a seguir:

Simplificando-se esse diagrama chega-se ao diagrama:

A função de A é:

Simplificando-se esse diagrama chega-se ao diagrama:

A função de A é:
Provas
Questão presente nas seguintes provas
Um transformador trifásico estrela-estrela possui tensão de linha
no primário de 15 kV e, no secundário, tensões de linha e fase,
respectivamente, iguais a 380 V e 220 V. A relação de espiras
entre os enrolamentos primário e secundário é:
Provas
Questão presente nas seguintes provas
A norma ABNT NBR NM 293 de 2004 define a terminologia de vidros planos e dos componentes acessórios a sua aplicação.
Relacione os termos descritos nesse instrumento legal com suas respectivas definições, apresentadas a seguir.
P - Vidro encapsulado
Q - Vidro de segurança
R – Vidro impresso
S - Vidro aramado
T – Vidro plano
I - Vidro temperado ou laminado, serigrafado ou não, que tem suas bordas cobertas por material plástico injetado.
II - Vidro plano, incolor ou colorido, obtido por fundição e laminação contínuas onde se incorpora durante o processo de fabricação uma malha de arame de aço, soldada em todas as suas intersecções.
III - Vidro de silicato sodocálcico obtido pelo processo de fabricação float ou estirado podendo ser beneficiado e transformado em produtos tais como o vidro curvo, temperado, laminado, espelhado, metalizado, entre outros.
Provas
Questão presente nas seguintes provas
A NBR 9050:2004 não exige que, até o número total de 10 vagas
de estacionamento, sejam reservadas vagas para estacionamento
de veículos que conduzam ou sejam conduzidos por pessoa com
deficiência. Já para o número total compreendido entre 11 e 101
vagas, o número de vagas reservadas exigido é de:
Provas
Questão presente nas seguintes provas
Cadernos
Caderno Container