Foram encontradas 410 questões.
Em um estudo sobre Saúde no Trabalho, foi investigado o número de trabalhadores que sofreram acidente de trabalho em dois determinados órgãos públicos nos últimos 12 meses. Os resultados obtidos foram:
Suponha que, após a publicação do estudo, o pesquisador percebeu que houve erro no registro do número de trabalhadores que sofreram acidentes de trabalho no órgão público A (OPA). Em cada um dos meses analisados, foram contabilizados, erroneamente, 3 trabalhadores acidentados a menos. O pesquisador então recalculou a média de OPA, que, de 6,0, passou a ser de 9,0 trabalhadores acidentados.
Nessa situação, o valor da variância de OPA
Provas
Questão presente nas seguintes provas
A informação jurídica é o produto da análise dos dados existentes na área jurídica, registrados, classificados, organizados, relacionados e interpretados dentro de um contexto para transmitir conhecimentos e
Provas
Questão presente nas seguintes provas
Em seu trabalho profissional, o assistente social deve ter a clareza da importância dos elementos técnico-operativos que compõem a sua intervenção.
Considerando a dimensão técnico-operativa do Serviço Social, o estudo social é um
Provas
Questão presente nas seguintes provas
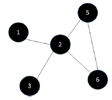
Considere a figura a seguir.

Fonte: FUNCERN, 2016
A figura apresenta uma estrutura de dados denominada
Provas
Questão presente nas seguintes provas
- Lei de Responsabilidade FiscalDívida e Endividamento (arts. 29 ao 42)Definições, Limites e Recondução da Dívida (arts. 29 ao 31)
De acordo com a Lei de Responsabilidade Fiscal, caso a dívida consolidada de um ente da Federação ultrapasse o respectivo limite ao final de um quadrimestre, deverá ser a ele reconduzida até o término dos três subsequentes.
No primeiro quadrimestre essa redução do excedente deverá ser de, no mínimo,
Provas
Questão presente nas seguintes provas
- Linguagens e Suportes MidiáticosProdução AudiovisualLuz, Iluminação e Luminotécnica em Audiovisual e Cinema
Luz e sombra são elementos percebidos pela visão, tanto pelo sentido como pelas lentes das câmeras. Para captar e registrar a luz, é preciso saber qual a fonte que ilumina a cena ou o objeto que se deseja registrar.
Em relação aos tipos de iluminação cênica existentes e suas respectivas características, é correto afirmar:
Provas
Questão presente nas seguintes provas
A reestruturação produtiva e a convergência dos meios acarretaram a polivalência como consequência negativa para a organização do trabalho dos profissionais de comunicação e, consequentemente, para o planejamento e produção das notícias.
No âmbito do jornalismo, as dimensões dessa polivalência são categorizadas em
Provas
Questão presente nas seguintes provas
Segundo a Classificação Decimal Universal (CDU), a notação 35 representa o assunto
Provas
Questão presente nas seguintes provas
Sobre a suspensão do processo, assinale a opção correta.
Provas
Questão presente nas seguintes provas
Define-se como Linguagens Documentárias o sistema simbólico
Provas
Questão presente nas seguintes provas
Cadernos
Caderno Container