Magna Concursos

Foram encontradas 1.187 questões.

508724 Ano: 2019
Disciplina: Legislação de Trânsito
Banca: FGV
Orgão: Pref. Salvador-BA

Com relação ao Sistema Nacional de Trânsito, analise as afirmativas a seguir e assinale V para a verdadeira e F para a falsa.

( ) Conselho Nacional de Trânsito é o coordenador do Sistema e órgão máximo normativo e consultivo.

( ) O recolhimento da Carteira Nacional de Habilitação de motoristas infratores é competência dos órgãos e entidades executivos do trânsito dos municípios.

( ) Os órgãos colegiados responsáveis pelo julgamento dos recursos interpostos contra penalidades de trânsito são conhecidos como Cetran (Conselhos Estaduais de Trânsito).

As afirmativas são, na ordem apresentada, respectivamente,

 

Provas

Questão presente nas seguintes provas
508723 Ano: 2019
Disciplina: Legislação de Trânsito
Banca: FGV
Orgão: Pref. Salvador-BA

Avalie as situações a seguir, nas quais há um cruzamento de dois fluxos em um local não sinalizado.

I. Cruzamento entre uma rodovia e uma via local.

II. Encontro de uma via com uma rotatória.

III. Encontro entre duas vias locais.

Em cada uma dessas situações, a preferência será

 

Provas

Questão presente nas seguintes provas

Um órgão da Prefeitura de Salvador pretende aplicar uma política de valorização de pessoal, utilizando, como base, resultados de avaliações de desempenho.

Para isso, será utilizado um método democrático em que o chefe e o subordinado decidem, em conjunto, quais serão os resultados visados e os recursos necessários.

Esse método é conhecido como

 

Provas

Questão presente nas seguintes provas

Leia o trecho a seguir, retirado do site do jornal O GLOBO.

“Os dados do IBGE mostram que a taxa de desemprego é maior entre as pessoas com menor escolaridade. Os mais afetados são aqueles que têm ensino médio incompleto - para esse grupo, a taxa é de 20% , contra 6,2% para os profissionais com curso superior.”

Analisando o trecho apresentado e fazendo um paralelo com a gestão de pessoal por competências, é correto afirmar que a taxa de desemprego tem uma relação direta com a competência conhecida por

 

Provas

Questão presente nas seguintes provas
508720 Ano: 2019
Disciplina: Contabilidade Geral
Banca: FGV
Orgão: Pref. Salvador-BA

Com relação à nota fiscal de serviços eletrônica, analise as afirmativas a seguir e assinale V para a verdadeira e F para a falsa.

I. A NFS-e poderá ser cancelada através de procedimento on-line, executado pelo próprio contribuinte, no portal da NFS-e apenas quando houver falta de pagamento do ISS, pelo tomador do serviço.

II. O aplicativo para emissão da NFS-e poderá ser utilizado mediante cadastro do contribuinte e uso de chave eletrônica.

III. A Nota Fiscal de Serviços Eletrônica – NFS-e é um documento digital destinado a documentar as operações de prestação de serviço.

As afirmativas são, na ordem apresentada, respectivamente,

 

Provas

Questão presente nas seguintes provas
508719 Ano: 2019
Disciplina: Engenharia Mecânica
Banca: FGV
Orgão: Pref. Salvador-BA
Provas:

De acordo com a Resolução nº 1024 do CONFEA/CREA de 2009, o Livro de Ordem constituirá a memória escrita de todas as atividades relacionadas à obra ou ao serviço.

Sobre o Livro de Ordem, analise as afirmativas a seguir.

I. Ele servirá de subsídio para comprovar a autoria do trabalho e garantir o cumprimento das instruções, tanto técnicas como administrativas.

II. Ele servirá de subsídio para dirimir dúvidas sobre a orientação técnica relativa à obra e avaliar motivos de eventuais falhas técnicas, gastos imprevistos e acidentes de trabalho.

III. Ele servirá de subsídio para a elaboração de trabalhos estatísticos baseados nos dados relatados.

Está correto o que se afirma em

 

Provas

Questão presente nas seguintes provas
508718 Ano: 2019
Disciplina: Engenharia Eletrônica
Banca: FGV
Orgão: Pref. Salvador-BA

Um dado evento de saída depende dos eventos de entrada A, B, C, D e E.

enunciado 508718-1

A árvore de falhas a seguir, representado por lógica booleana, apresenta as probabilidades de cada um dos eventos de entrada.

A probabilidade do evento de saída acontecer é de

 

Provas

Questão presente nas seguintes provas
508717 Ano: 2019
Disciplina: Engenharia Eletrônica
Banca: FGV
Orgão: Pref. Salvador-BA

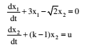
Considere um sistema dinâmico linear, representado pelas equações diferenciais a seguir, onde x1 e x2 são variáveis de estado, u é uma força exógena e k é uma constante.

enunciado 508717-1

Quanto à relação entre o valor da constante k e a estabilidade interna do sistema, é correto afirmar que o sistema é

 

Provas

Questão presente nas seguintes provas
508716 Ano: 2019
Disciplina: Engenharia Eletrônica
Banca: FGV
Orgão: Pref. Salvador-BA

Um sistema de controle, representado pela sua função de transferência H(s), possui a seguinte função de resposta em frequência:

enunciado 508716-1

Quanto à sua resposta ao degrau, o sistema de controle é classificado como

 

Provas

Questão presente nas seguintes provas
508715 Ano: 2019
Disciplina: Engenharia Eletrônica
Banca: FGV
Orgão: Pref. Salvador-BA

Considere o circuito a seguir, em que uma carga é alimentada por uma fonte ideal, por meio de um conversor CC-CC ideal com ciclo de trabalho D=0,40.

enunciado 508715-1

Considerando uma operação contínua e sem perdas do conversor, a potência dissipada pela carga, em W, é

 

Provas

Questão presente nas seguintes provas