Foram encontradas 987 questões.
Atenção: Leia atentamente o texto a seguir e responda a questão:
Brincando com senso de ridículo, Argylle se perde na própria piada.
Trama metalinguística aposta no humor por constrangimento, mas não sabe a hora de parar.
Mariana Canhisares
O que aconteceria se, um dia, um dos bruxos da saga Harry Potter aparecesse para J.K Rowling,
dizendo “somos reais. Hogwarts é real.”? Foi assim que o diretor Matthew Vaughn explicou Argylle para
o público na New York Comic-Con no ano passado — e, se você trocar magia por espionagem, de fato é
uma descrição bastante precisa para o choque que sua protagonista Elly Conway (Bryce Dallas Howard)
encara ao se ver dentro de uma trama mirabolante, digna dos seus livros. Autora de uma série literária
de sucesso, a escritora caseira e tímida descobre que o intrincado conflito que criou nas páginas não é
apenas uma obra de ficção. Na realidade, ele se desenrola na vida real, e os próximos passos que
planejou para Argylle (Henry Cavill), seu herói canastrão de estilo peculiar, podem ser a chave para
derrubar uma organização secreta de agentes corruptos.
A metalinguagem é, portanto, a engrenagem através da qual o filme se desenrola, a ponto do
Argylle fictício surgir como visões para Elly, ora como uma manifestação da sua consciência, ora
substituindo seu único aliado, o espião Aidan (Sam Rockwell), na porradaria. Quer dizer, o limite entre
ficção e realidade é propositalmente turvo para a protagonista, e para isso há uma razão sobretudo
cômica. Baseando-se em uma obra ainda a ser publicada, escrita por uma figura misteriosa também
chamada Elly Conway, o diretor se propõe a fazer do que chamou de “melhor thriller de espionagem” que
já leu um meio para rir dos clichês do gênero. Desde a conveniência com que seus personagens
descobrem pistas, as reviravoltas apressadas e até as frases de efeito fora do tom, não há um recurso
clássico do gênero que fique de fora da aventura da sua protagonista.
Inicialmente, Vaughn trabalha esse conceito de forma muito satisfatória pelo contraste.
Enquanto o Argylle da imaginação de Elly, apresentado na pele do ex-Superman Cavill, é um brutamontes
exibido, convencido dos seus charmes, o espião da vida real não exibe seus músculos. Na verdade, o
personagem de Rockwell (que já viveu um espião trapalhão em outro jogo de metalinguagem, o
de Confissões de uma Mente Perigosa em 2002), é consideravelmente menor e, quando se apresenta,
não demonstra nenhuma vaidade de propósito para passar despercebido pela multidão. Quando Argylle
luta, ele dá golpes estilosos e, em raras ocasiões, é atingido no rosto. Já quando Aidan toma conta da
ação, a dor é visível, e o ridículo de se atracar com alguém em um corredor de trem estreito fica óbvio.
Conforme o filme avança, porém, a dinâmica se inverte, e a nova realidade de Elly toma para si
os exageros das tramas de espionagem: há plot twists dentro do plot twist, as caretas e os discursos
gritados dos vilões se tornam mais recorrentes e as sequências de ação testam os limites da lógica, sem
pudor. A cada nova pista, Vaughn dobra a aposta no humor por constrangimento e eleva o tom — até
não sobrar nem sentido, nem envolvimento emocional.
O humor exagerado e sua disposição ao cafona se sobressaem de tal maneira em Argylle que
são menos uma linguagem para narrar a história de Elly, e mais uma muleta para dar coesão ao que, no
fundo, é um aglomerado de piadas — algumas mais inventivas que outras. No caminho da autora podem
ter bombas, hordas de capangas ou a dúvida simples, mas angustiante de não saber em quem confiar,
não importa. Não há risco verdadeiro, porque ela mesma é um acessório. Ou, melhor, o setup para a
avalanche de punchlines que, na maior parte das vezes, não são lá muito engraçadas.
Esse descaso com a protagonista, a âncora emocional do filme, é aparente desde o começo. Na
verdade, Argylle chega a chamar a atenção para esse seu desapego rindo de como Elly é estereótipo
da cat lady, sem nem tentar construir uma personalidade que vá muito além disso — de tal modo, aliás,
que não é nada surpreendente quando Sam Rockwell começa a roubar a cena com seu galã pouco
convencional. Contudo, isso se torna especialmente prejudicial na reta final, quando atinge o ápice do
absurdo. Prolongando a história mais do que o necessário para incluir três sequências de ação
extravagantes, propostas que devem ter soado muito engraçadas no papel, não é mais o humor que gera
constrangimento, e sim o fato de Vaughn não saber a hora de parar. Sem motivo para se importar com
tudo aquilo, no final até a duração do filme se prova um exagero.
Não se levar a sério não seria necessariamente um problema, embora hoje soe bem pouco
interessante — todo mundo já fez e, ainda assim, continua a fazer (incluindo o próprio Vaughn,
cujo Kingsman já propunha inverter clichês de espionagem e ação em chave cômica). O problema é
quando, sob o pretexto de que tudo é uma grande piada, Argylle justifica o esgarçamento das regras do
seu próprio universo e, com uma piscadela ou um comentário autorreferente, tenta disfarçar que não tem
muito a oferecer além da sua premissa divertida. O filme poderia ser bom. Poderia até ser ótimo. Mas,
para o azar de todos os envolvidos, Argylle se perde na própria piada.
(Fonte: https://www.omelete.com.br/filmes/criticas/argylle. Adaptado.)
Provas
Questão presente nas seguintes provas
Atenção: Leia atentamente o texto a seguir e responda a questão:
Brincando com senso de ridículo, Argylle se perde na própria piada.
Trama metalinguística aposta no humor por constrangimento, mas não sabe a hora de parar.
Mariana Canhisares
O que aconteceria se, um dia, um dos bruxos da saga Harry Potter aparecesse para J.K Rowling,
dizendo “somos reais. Hogwarts é real.”? Foi assim que o diretor Matthew Vaughn explicou Argylle para
o público na New York Comic-Con no ano passado — e, se você trocar magia por espionagem, de fato é
uma descrição bastante precisa para o choque que sua protagonista Elly Conway (Bryce Dallas Howard)
encara ao se ver dentro de uma trama mirabolante, digna dos seus livros. Autora de uma série literária
de sucesso, a escritora caseira e tímida descobre que o intrincado conflito que criou nas páginas não é
apenas uma obra de ficção. Na realidade, ele se desenrola na vida real, e os próximos passos que
planejou para Argylle (Henry Cavill), seu herói canastrão de estilo peculiar, podem ser a chave para
derrubar uma organização secreta de agentes corruptos.
A metalinguagem é, portanto, a engrenagem através da qual o filme se desenrola, a ponto do
Argylle fictício surgir como visões para Elly, ora como uma manifestação da sua consciência, ora
substituindo seu único aliado, o espião Aidan (Sam Rockwell), na porradaria. Quer dizer, o limite entre
ficção e realidade é propositalmente turvo para a protagonista, e para isso há uma razão sobretudo
cômica. Baseando-se em uma obra ainda a ser publicada, escrita por uma figura misteriosa também
chamada Elly Conway, o diretor se propõe a fazer do que chamou de “melhor thriller de espionagem” que
já leu um meio para rir dos clichês do gênero. Desde a conveniência com que seus personagens
descobrem pistas, as reviravoltas apressadas e até as frases de efeito fora do tom, não há um recurso
clássico do gênero que fique de fora da aventura da sua protagonista.
Inicialmente, Vaughn trabalha esse conceito de forma muito satisfatória pelo contraste.
Enquanto o Argylle da imaginação de Elly, apresentado na pele do ex-Superman Cavill, é um brutamontes
exibido, convencido dos seus charmes, o espião da vida real não exibe seus músculos. Na verdade, o
personagem de Rockwell (que já viveu um espião trapalhão em outro jogo de metalinguagem, o
de Confissões de uma Mente Perigosa em 2002), é consideravelmente menor e, quando se apresenta,
não demonstra nenhuma vaidade de propósito para passar despercebido pela multidão. Quando Argylle
luta, ele dá golpes estilosos e, em raras ocasiões, é atingido no rosto. Já quando Aidan toma conta da
ação, a dor é visível, e o ridículo de se atracar com alguém em um corredor de trem estreito fica óbvio.
Conforme o filme avança, porém, a dinâmica se inverte, e a nova realidade de Elly toma para si
os exageros das tramas de espionagem: há plot twists dentro do plot twist, as caretas e os discursos
gritados dos vilões se tornam mais recorrentes e as sequências de ação testam os limites da lógica, sem
pudor. A cada nova pista, Vaughn dobra a aposta no humor por constrangimento e eleva o tom — até
não sobrar nem sentido, nem envolvimento emocional.
O humor exagerado e sua disposição ao cafona se sobressaem de tal maneira em Argylle que
são menos uma linguagem para narrar a história de Elly, e mais uma muleta para dar coesão ao que, no
fundo, é um aglomerado de piadas — algumas mais inventivas que outras. No caminho da autora podem
ter bombas, hordas de capangas ou a dúvida simples, mas angustiante de não saber em quem confiar,
não importa. Não há risco verdadeiro, porque ela mesma é um acessório. Ou, melhor, o setup para a
avalanche de punchlines que, na maior parte das vezes, não são lá muito engraçadas.
Esse descaso com a protagonista, a âncora emocional do filme, é aparente desde o começo. Na
verdade, Argylle chega a chamar a atenção para esse seu desapego rindo de como Elly é estereótipo
da cat lady, sem nem tentar construir uma personalidade que vá muito além disso — de tal modo, aliás,
que não é nada surpreendente quando Sam Rockwell começa a roubar a cena com seu galã pouco
convencional. Contudo, isso se torna especialmente prejudicial na reta final, quando atinge o ápice do
absurdo. Prolongando a história mais do que o necessário para incluir três sequências de ação
extravagantes, propostas que devem ter soado muito engraçadas no papel, não é mais o humor que gera
constrangimento, e sim o fato de Vaughn não saber a hora de parar. Sem motivo para se importar com
tudo aquilo, no final até a duração do filme se prova um exagero.
Não se levar a sério não seria necessariamente um problema, embora hoje soe bem pouco
interessante — todo mundo já fez e, ainda assim, continua a fazer (incluindo o próprio Vaughn,
cujo Kingsman já propunha inverter clichês de espionagem e ação em chave cômica). O problema é
quando, sob o pretexto de que tudo é uma grande piada, Argylle justifica o esgarçamento das regras do
seu próprio universo e, com uma piscadela ou um comentário autorreferente, tenta disfarçar que não tem
muito a oferecer além da sua premissa divertida. O filme poderia ser bom. Poderia até ser ótimo. Mas,
para o azar de todos os envolvidos, Argylle se perde na própria piada.
(Fonte: https://www.omelete.com.br/filmes/criticas/argylle. Adaptado.)
Provas
Questão presente nas seguintes provas
O Calendário Escolar é um documento que apresenta os dias letivos, os feriados, os
recessos e as férias, mas também as atividades, as reuniões e as festividades. Sua finalidade é orientar
a comunidade escolar e os familiares dos estudantes sobre a programação e a condução do processo
escolar de todo o ano da instituição. Sobre o que diz o Parecer CNE/CEB nº 10/2005, identifique com (V)
ou (F) as afirmativas, conforme sejam verdadeiras ou falsas:
▢ No Ensino Fundamental e Médio são obrigatórios os mínimos de 200 (duzentos) dias de efetivo trabalho escolar e 800 (oitocentas) horas anuais.
▢ A jornada escolar no Ensino Fundamental deverá ser igual ou superior a 4 (quatro) horas de efetivo trabalho por parte dos alunos, isto é, 240 (duzentos e quarenta) minutos.
▢O efetivo trabalho escolar pode e deve ser desenvolvido em sala de aula, compreendendo, também, aquelas atividades dos alunos desenvolvidas em outros ambientes pedagógicos sob a orientação de profissionais entendidos como profissionais de magistério com experiência docente como pré-requisito (agentes educacionais).
▢Os sistemas de ensino gozam de autonomia para decidir questões operacionais relativas ao calendário anual de suas instituições, assegurada a carga horária mínima de 800 horas (48.000 minutos) em 200 (duzentos) dias letivos de efetivo trabalho escolar pelo aluno de Ensino Fundamental e Médio, com exceção dos cursos noturnos na forma prevista pelo artigo 34 da LDB.
A sequência CORRETA, de cima para baixo, é:
▢ No Ensino Fundamental e Médio são obrigatórios os mínimos de 200 (duzentos) dias de efetivo trabalho escolar e 800 (oitocentas) horas anuais.
▢ A jornada escolar no Ensino Fundamental deverá ser igual ou superior a 4 (quatro) horas de efetivo trabalho por parte dos alunos, isto é, 240 (duzentos e quarenta) minutos.
▢O efetivo trabalho escolar pode e deve ser desenvolvido em sala de aula, compreendendo, também, aquelas atividades dos alunos desenvolvidas em outros ambientes pedagógicos sob a orientação de profissionais entendidos como profissionais de magistério com experiência docente como pré-requisito (agentes educacionais).
▢Os sistemas de ensino gozam de autonomia para decidir questões operacionais relativas ao calendário anual de suas instituições, assegurada a carga horária mínima de 800 horas (48.000 minutos) em 200 (duzentos) dias letivos de efetivo trabalho escolar pelo aluno de Ensino Fundamental e Médio, com exceção dos cursos noturnos na forma prevista pelo artigo 34 da LDB.
A sequência CORRETA, de cima para baixo, é:
Provas
Questão presente nas seguintes provas
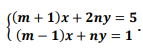
Considere o sistema:
![]()
Considerando que a solução desse sistema seja dada por m = 1 e n = 2, então o valor da expressão (m + n)2 é:
Provas
Questão presente nas seguintes provas
Qual a derivada da função g(x) = (x2 − 3)5
In[1+ cos(2x)] ?
Provas
Questão presente nas seguintes provas
3899793
Ano: 2024
Disciplina: Inglês (Língua Inglesa)
Banca: IDESG
Orgão: Pref. Nova Venécia-ES
Disciplina: Inglês (Língua Inglesa)
Banca: IDESG
Orgão: Pref. Nova Venécia-ES
Provas:
Choose the sentence in which the word in italics is a preposition that indicates
movement.
Provas
Questão presente nas seguintes provas
Jean Piaget considera que a aprendizagem:
Provas
Questão presente nas seguintes provas
3899791
Ano: 2024
Disciplina: Direito Processual Civil
Banca: IDESG
Orgão: Pref. Nova Venécia-ES
Disciplina: Direito Processual Civil
Banca: IDESG
Orgão: Pref. Nova Venécia-ES
Provas:
Considerando o Código de Processo Civil e os processos nos tribunais, no caso de
pedido de instauração do incidente o mesmo será dirigido, no caso das partes por petição, ao presidente
de tribunal. No julgamento do incidente, após o autor e o réu do processo originário e o Ministério
Público, os demais interessados poderão sustentar suas razões no prazo de trinta minutos, divididos
entre todos, sendo exigida inscrição com antecedência de
Provas
Questão presente nas seguintes provas
3899790
Ano: 2024
Disciplina: Agronomia (Engenharia Agronômica)
Banca: IDESG
Orgão: Pref. Nova Venécia-ES
Disciplina: Agronomia (Engenharia Agronômica)
Banca: IDESG
Orgão: Pref. Nova Venécia-ES
Provas:
Com relação à temperatura do ar e seu impacto na produção de frutas:
I. Temperaturas elevadas durante a fase de florescimento de frutas como a maçã podem reduzir a produção, devido à má formação das flores e à queda de frutos.
II. Temperaturas baixas durante a fase de maturação de frutas como a uva podem aumentar a concentração de açúcares e a acidez, resultando em um sabor mais intenso e aroma mais complexo.
III. O uso de técnicas como a cobertura do solo e a irrigação por gotejamento pode auxiliar na proteção das plantas contra temperaturas extremas, minimizando os impactos negativos na produção frutífera.
Estão corretas:
I. Temperaturas elevadas durante a fase de florescimento de frutas como a maçã podem reduzir a produção, devido à má formação das flores e à queda de frutos.
II. Temperaturas baixas durante a fase de maturação de frutas como a uva podem aumentar a concentração de açúcares e a acidez, resultando em um sabor mais intenso e aroma mais complexo.
III. O uso de técnicas como a cobertura do solo e a irrigação por gotejamento pode auxiliar na proteção das plantas contra temperaturas extremas, minimizando os impactos negativos na produção frutífera.
Estão corretas:
Provas
Questão presente nas seguintes provas
“As fontes de informação especializadas têm distintas categorias (primárias,
secundárias, terciárias), formas de organização e acesso, assim como uma variedade de formatos”.
Assim, de acordo com sua origem, as fontes de informação especializadas podem ser:
▢ Pessoais.
▢ Científicas.
▢ Documentais.
▢ Institucionais.
Assinale a alternativa correta:
Assim, de acordo com sua origem, as fontes de informação especializadas podem ser:
▢ Pessoais.
▢ Científicas.
▢ Documentais.
▢ Institucionais.
Assinale a alternativa correta:
Provas
Questão presente nas seguintes provas
Cadernos
Caderno Container