Foram encontradas 285 questões.
Dados divulgados pelo Instituto Brasileiro de Geografia e Estatística (IBGE) sobre a dinâmica populacional apontam para um declínio
da fecundidade, como demonstrativo abaixo.
Fonte: IBGE. Acesso: https://cidades.ibge.gov.br/brasil/panorama
Feita a análise do quadro, indique a alternativa que apresenta a CORRETA avaliação.
Fonte: IBGE. Acesso: https://cidades.ibge.gov.br/brasil/panorama Feita a análise do quadro, indique a alternativa que apresenta a CORRETA avaliação.
Provas
Questão presente nas seguintes provas
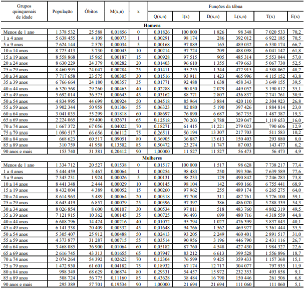
O conhecimento e a compreensão de dados relativos à mortalidade da população são de fundamental importância para a proposição de
políticas públicas de saúde. A tabela abaixo apresenta a Tábua Abreviada de Mortalidade da população paraibana para o ano de 2010.
Fonte: Adaptado de IBGE, Diretoria de Pesquisas, Coordenação de População e Indicadores Sociais. Nota: M(x,n) = Taxas centrais de mortalidade.
x = Idades exatas. Q(x,n) = Probabilidades de morte entre as idades exatas x e x+n. l(x) = Número de sobreviventes à idade exata x. D(x,n) = Número de óbitos ocorridos entre as idades x e x+n. L(x,n) = Número de pessoas-anos vividos entre as idades x e x+n. T(x) = Número de pessoas-anos vividos a partir da idade x. E(x) = Expectativa de vida à idade x.
Fonte: IBGE, Diretoria de Pesquisas, Coordenação de População e Indicadores Sociais. Disponível em: <https://www.ibge.gov.br/estatisticas/todos-os-produtos-estatisticas/2049-demografia-e-estatisticas-sociais/populacao/componentes-da-dinamica-demografica-e-estatisticas-vitais/np-tabuas-abreviadas-de-mortalidade/9125-tabuas-abreviadas-de-mortalidade.html?=&t=resultados>. Acessado em 02 de fevereiro de 2020.
A partir dos dados da tabela analise as afirmações para a Paraíba:
I- Há mais mulheres idosas do que homens idosos. II- A expectativa de vida dos homens é maior do que a das mulheres. III- A maior probabilidade de morte entre as mulheres é a partir dos noventa anos. IV- Homens têm menos chances de morrer aos cinco anos. V- A maioria da população se concentra na faixa de vinte a vinte e quatro anos. VI- A taxa de mortalidade a partir dos setenta anos é maior entre as mulheres.
É CORRETO o que se afirma em:
Fonte: Adaptado de IBGE, Diretoria de Pesquisas, Coordenação de População e Indicadores Sociais. Nota: M(x,n) = Taxas centrais de mortalidade.
x = Idades exatas. Q(x,n) = Probabilidades de morte entre as idades exatas x e x+n. l(x) = Número de sobreviventes à idade exata x. D(x,n) = Número de óbitos ocorridos entre as idades x e x+n. L(x,n) = Número de pessoas-anos vividos entre as idades x e x+n. T(x) = Número de pessoas-anos vividos a partir da idade x. E(x) = Expectativa de vida à idade x.
Fonte: IBGE, Diretoria de Pesquisas, Coordenação de População e Indicadores Sociais. Disponível em: <https://www.ibge.gov.br/estatisticas/todos-os-produtos-estatisticas/2049-demografia-e-estatisticas-sociais/populacao/componentes-da-dinamica-demografica-e-estatisticas-vitais/np-tabuas-abreviadas-de-mortalidade/9125-tabuas-abreviadas-de-mortalidade.html?=&t=resultados>. Acessado em 02 de fevereiro de 2020.
A partir dos dados da tabela analise as afirmações para a Paraíba:
I- Há mais mulheres idosas do que homens idosos. II- A expectativa de vida dos homens é maior do que a das mulheres. III- A maior probabilidade de morte entre as mulheres é a partir dos noventa anos. IV- Homens têm menos chances de morrer aos cinco anos. V- A maioria da população se concentra na faixa de vinte a vinte e quatro anos. VI- A taxa de mortalidade a partir dos setenta anos é maior entre as mulheres.
É CORRETO o que se afirma em:
Provas
Questão presente nas seguintes provas
Após a confirmação do primeiro caso de coronavírus no Brasil, um grupo de pesquisadores do Instituto Adolfo Lutz e das
Universidades de São Paulo (USP) e de Oxford (Reino Unido) publicou a sequência completa do genoma viral, que recebeu o nome de
SARS-CoV-2. Estes dados foram compartilhados com virologistas, epidemiologistas e especialistas em saúde pública do mundo
inteiro que têm se dedicado a coletar dados e a trocar informações no site Virological.org.
Fonte: Toledo, K. Tecnologia que sequenciou coronavírus em 48 horas permitirá monitorar epidemia em tempo real. São Paulo: Agência FAPESP, 28 de fevereiro de
2020. Disponível em: .
Acessado em 02 de março de 2020.
Considerando este contexto analise as asserções a seguir e a relação entre elas.
I – A troca destas informações entre cientistas é útil para o desenvolvimento de medicamentos e vacinas que são desenvolvidos a luz das teorias evolutivas. porque... II – a partir da perspectiva evolutiva é possível inferir sobre a diversidade de um patógeno e identificar as regiões do genoma viral que menos sofrem mutações.
A respeito dessas asserções, assinale a opção CORRETA.
Considerando este contexto analise as asserções a seguir e a relação entre elas.
I – A troca destas informações entre cientistas é útil para o desenvolvimento de medicamentos e vacinas que são desenvolvidos a luz das teorias evolutivas. porque... II – a partir da perspectiva evolutiva é possível inferir sobre a diversidade de um patógeno e identificar as regiões do genoma viral que menos sofrem mutações.
A respeito dessas asserções, assinale a opção CORRETA.
Provas
Questão presente nas seguintes provas
Na Paraíba, diversas são as obras arquitetônicas, esculturais e murais que embelezam a paisagem. Indique, entre as alternativas abaixo,
a que possui apenas obras que se encontram na cidade de Campina Grande e qual o tipo de arte a que pertencem.
Provas
Questão presente nas seguintes provas
A Paraíba possui um grande legado artístico que passa por muitos movimentos e estilos. Assinale a alternativa que relaciona
CORRETAMENTE o artista paraibano, sua especialidade e uma obra de sua criação:
Provas
Questão presente nas seguintes provas
Quando o Brasil começou a ser colonizado pelos europeus, a maior parte da população indígena foi morta e grande parte de sua arte e
cultura foi perdida. Mesmo assim, parte da Arte indígena pode ser encontrada principalmente na região amazônica. Entre as
alternativas abaixo, assinale a que apresenta apenas formas de arte feitas pelos índios brasileiros.
Provas
Questão presente nas seguintes provas
A Proposta Triangular para ensino da arte, de ANA MAE BARBOSA, é um trabalho desenvolvido com o objetivo de estruturar três
eixos (fruir Arte, contextualizar Arte e produzir Arte) como forma de o educando poder ser capaz de ler o mundo de forma mais ampla e
sensível. Sobre esta Proposta é CORRETO afirmar:
I- A leitura de imagem (ou fruição da arte), primeiro eixo da Proposta, destaca as diferentes possibilidades de a criança ou adolescente entrarem em contato com a Arte, com os diferentes modos de ver e interpretar as obras artísticas, o que pode despertar mais facilmente a capacidade crítica dos educandos. II- De acordo com a Proposta Triangular, não é interessante que as crianças e adolescentes tenham contato com obras nacionais, uma vez que o interesse estético deve priorizar o gosto pessoal e o desenvolvimento do sensível, não sendo esperada qualquer ligação da arte com a cultura, ideologias políticas, econômicas ou sociais. III- É através do contato com a Arte que a criança percebe os códigos, informações e possibilidades de criação e expressão de seus sentimentos, passando a compreender melhor o meio no qual está inserida.
Está(ão) CORRETA(S) a(s) assertiva(s):
I- A leitura de imagem (ou fruição da arte), primeiro eixo da Proposta, destaca as diferentes possibilidades de a criança ou adolescente entrarem em contato com a Arte, com os diferentes modos de ver e interpretar as obras artísticas, o que pode despertar mais facilmente a capacidade crítica dos educandos. II- De acordo com a Proposta Triangular, não é interessante que as crianças e adolescentes tenham contato com obras nacionais, uma vez que o interesse estético deve priorizar o gosto pessoal e o desenvolvimento do sensível, não sendo esperada qualquer ligação da arte com a cultura, ideologias políticas, econômicas ou sociais. III- É através do contato com a Arte que a criança percebe os códigos, informações e possibilidades de criação e expressão de seus sentimentos, passando a compreender melhor o meio no qual está inserida.
Está(ão) CORRETA(S) a(s) assertiva(s):
Provas
Questão presente nas seguintes provas
Acerca da Semana de Arte Moderna de 1922, é CORRETO afirmar:
Provas
Questão presente nas seguintes provas
Em sequência assinale a alternativa que contém as palavras que preenchem corretamente as lacunas dos excertos abaixo, pertencentes
aos Parâmetros Curriculares Nacionais.
A arte na escola já foi considerada matéria, disciplina, atividade, mas sempre mantida à margem das áreas curriculares tidas como mais “ ”. Esse lugar menos privilegiado corresponde ao desconhecimento, em termos , de como se trabalhar o poder da imagem, do som, do movimento e da como fontes de conhecimento. A introdução da Educação no currículo escolar foi um , principalmente pelo aspecto de sustentação legal para essa prática e por considerar que houve um em relação à arte na formação dos indivíduos. No entanto, o resultado dessa proposição foi contraditório e paradoxal. Muitos professores não estavam habilitados e, menos ainda, preparados para o domínio de várias , que deveriam ser incluídas no conjunto das atividades artísticas (Artes Plásticas, Educação Musical, Artes Cênicas).
A sequência CORRETA de preenchimento das lacunas é:
A arte na escola já foi considerada matéria, disciplina, atividade, mas sempre mantida à margem das áreas curriculares tidas como mais “ ”. Esse lugar menos privilegiado corresponde ao desconhecimento, em termos , de como se trabalhar o poder da imagem, do som, do movimento e da como fontes de conhecimento. A introdução da Educação no currículo escolar foi um , principalmente pelo aspecto de sustentação legal para essa prática e por considerar que houve um em relação à arte na formação dos indivíduos. No entanto, o resultado dessa proposição foi contraditório e paradoxal. Muitos professores não estavam habilitados e, menos ainda, preparados para o domínio de várias , que deveriam ser incluídas no conjunto das atividades artísticas (Artes Plásticas, Educação Musical, Artes Cênicas).
A sequência CORRETA de preenchimento das lacunas é:
Provas
Questão presente nas seguintes provas
Cordelista paraibano, nascido em Pombal, é considerado o patrono da Literatura Popular em Verso. De enorme talento, costumava
fazer, em suas obras, crônicas a respeito dos costumes da sociedade e da política sem esquecer-se de utilizar os seus cordéis para criar
ficção. Para Carlos Drummond de Andrade, ele foi o “Rei da Poesia do Sertão e do Brasil” e Câmara Cascudo considerou-o como o
mais lido entre os escritores populares. Entre as suas criações, alguns destaques são: O cachorro dos mortos, O cavalo que defecava, A
Vida de Pedro Cem dinheiro, O soldado Jogador e outras.
Assinale a alternativa que identifica o autor a que o texto acima se refere.
Assinale a alternativa que identifica o autor a que o texto acima se refere.
Provas
Questão presente nas seguintes provas
Cadernos
Caderno Container