Foram encontradas 289 questões.
No Word 2016, o comando indicado pelo ponteiro do mouse na imagem abaixo tem como função:

Provas
Disciplina: TI - Redes de Computadores
Banca: OBJETIVA
Orgão: Pref. Ilópolis-RS
Provas
Provas
O Ideb (Índice de Desenvolvimento da Educação Básica) é um indicador criado pelo Inep/MEC para avaliar a qualidade da Educação Básica no Brasil. São aspectos considerados para essa avaliação:
I. Desempenho nas avaliações.
II. Fluxo escolar.
III. Renda.
IV. Naturalidade.
Está CORRETO o que se afirma:
Provas
Disciplina: Ética na Administração Pública
Banca: OBJETIVA
Orgão: Pref. Ilópolis-RS
Sobre a ética no serviço público, avaliar se as afirmativas são certas (C) ou erradas (E) e assinalar a sequência correspondente.
( ) Consiste em um conjunto de princípios e normas que orientam a conduta dos servidores públicos.
( ) Visa ao interesse pessoal acima dos interesses coletivos.
( ) Promove transparência, respeito, eficiência e legalidade.
Provas
Observar a figura abaixo.

Assinalar a alternativa que corresponde aos graus do ângulo X.
Provas
Em uma pesquisa feita com 40 pessoas, verificou-se que:
• 18 têm conta na rede social A;
• 15 têm conta na rede social B;
• 7 têm conta nas redes sociais A e B.
Ao todo, quantas pessoas que participaram da pesquisa não têm conta em nenhuma dessas duas redes sociais?
Provas
Provas
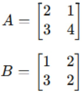
Considerando as matrizes A e B, assinalar a alternativa que representa o produto dos determinantes A e B.

Provas
Sobre o emprego dos porquês, assinalar a alternativa que preenche as lacunas abaixo CORRETAMENTE.
Felipe não quis jogar bola ______ havia chovido, e as ruas _______ ele passou estavam todas molhadas.
Provas
Caderno Container