Foram encontradas 250 questões.
De acordo com a Lei Complementar nº 485, de 11 de janeiro de 2010, o ingresso no cargo de Assistente Jurídico dar-se-á por concurso público de provas ou de provas e títulos a ser realizado pela Procuradoria-Geral do Estado, não constituindo requisito para “inscrição” no concurso de ingresso:
Provas
Questão presente nas seguintes provas
Sobre a definição da Demonstração do Valor Adicionado (DVA), conceito, forma de apresentação e elaboração.
1. O DVA é medido pela diferença entre o valor das vendas e os insumos adquiridos de terceiros, pelo regime de competência.
2. O DVA é medido pela diferença entre o valor dos recebimentos e dos pagamentos, pelo regime de caixa.
3. O DVA inclui também o valor adicionado recebido em transferência, ou seja, produzido por terceiros e transferido à entidade.
4. O DVA representa a riqueza criada pela empresa.
5. O DVA representa o fluxo de caixa dos acionistas.
Assinale a alternativa que indica todas as afirmativas corretas.
Provas
Questão presente nas seguintes provas
Nas demonstrações contábeis/financeiras das sociedas anônimas:
Provas
Questão presente nas seguintes provas
Assinale a alternativa correta a respeito da implementação do protocolo NetBIOS sobre a família de protocolos TCP/IP.
Provas
Questão presente nas seguintes provas
A respeito do servidor POP3 (Post Office Protocol, versão 3) do sistema operacional Windows Server 2003, é correto afirmar:
Provas
Questão presente nas seguintes provas
De acordo com o Decreto Estadual nº 1.127/2008/SC, que dispõe sobre a concessão e o pagamento de diárias no âmbito da administração direta, autarquias e fundações do Poder Executivo Estadual, é correto afirmar que a efetiva realização da viagem será comprovada:
1. nos casos de deslocamento, mediante apresentação de ordem de tráfego quando realizada com veiculo oficial.
2. por meio da apresentação de bilhete de passagem se o meio de transporte for o coletivo.
3. por meio da apresentação de comprovante de embarque em se tratando de transporte aéreo.
4. em se tratando de estada no local de destino, a comprovação se fará apenas mediante nota fiscal de hospedagem ou alimentação.
Assinale a alternativa que indica todas as afirmativas corretas.
Provas
Questão presente nas seguintes provas
- Paradigmas de ProgramaçãoOrientação a ObjetosDefinição Técnica: Orientação a Objetos
- Paradigmas de ProgramaçãoOrientação a ObjetosOrientação a Objetos: Polimorfismo
Assinale a alternativa que indica a definição correta de polimorfismo, no contexto do desenvolvimento orientado a objetos.
Provas
Questão presente nas seguintes provas
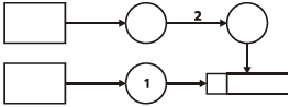
Analise o DFD (Diagrama de Fluxo de Dados) mostrado abaixo.

Assinale a alternativa que contém a identificação correta dos dois elementos sintáticos identificados pelos números “1” e “2” no DFD.
Provas
Questão presente nas seguintes provas
Assinale a alternativa que não apresenta erro de espécie alguma, conforme a norma culta da língua portuguesa.
Provas
Questão presente nas seguintes provas
Quanto ao regime licitatório brasileiro, pode-se dizer que:
Provas
Questão presente nas seguintes provas
Cadernos
Caderno Container