Foram encontradas 1.730 questões.
Julgue o item subsecutivo a respeito de gerenciamento de projetos e gestão de estoques.
Trabalhar com prazos limitados e compartilhar recursos escassos são fatores internos que necessitam de projetos nas organizações.
Provas
- PODC: Processo OrganizacionalProcesso Administrativo: PlanejamentoPlanejamento Estratégico, Tático e Operacional
Com relação aos conceitos de gestão do desempenho organizacional e planejamento estratégico, julgue o próximo item.
A análise da rentabilidade e da produtividade de um serviço no momento da entrega ao cliente permite a construção de padrões de gestão de desempenho organizacional.
Provas
- PODC: Processo OrganizacionalProcesso Administrativo: PlanejamentoIntrodução ao Processo de Planejamento
Com relação aos conceitos de gestão do desempenho organizacional e planejamento estratégico, julgue o próximo item.
Em uma análise temporal, o planejamento estratégico apresenta-se maior que o planejamento operacional e menor que o planejamento tático.
Provas
Com relação aos princípios e conceitos da engenharia econômica, julgue o item seguinte.
A taxa interna de retorno de um projeto corresponde à taxa de atualização do projeto que torna o valor presente líquido nulo.
Provas
Julgue o item que se segue, a respeito do método numérico de Newton-Raphson, utilizado em engenharia.
Um dos fatores de eficiência do método de Newton- Raphson, na comparação com outros métodos, é a taxa de convergência, dada por uma função cúbica.
Provas
Julgue o item que se segue, a respeito do método numérico de Newton-Raphson, utilizado em engenharia.
A partir da fórmula iterativa do método de Newton-Raphson, uma aproximação inicial, em x = 6, para a equação f(x) = x2 – 4, resulta no valor de x1 superior a 4.
Provas
Considerando que a função de distribuição de probabilidade de uma variável aleatória discreta X seja dada por
!$ { \begin{cases} P(X = -1) = 2a\\ P(X = 0)= a \\ P(X = + 1) = 2a \end{cases}} !$
julgue o item que se segue.
O valor esperado da distribuição de X é igual a zero.
Provas

Uma indústria obtém a energia elétrica necessária para sua operação de duas usinas termoelétricas A e B, como ilustrado na figura anterior. Um relatório sobre consumo de energia foi elaborado considerando um período de 7 dias e os resultados foram modelados pela função %& seguinte
!$ W(t) = 10t^3 - 83t^2 + 89 t +182 !$ com !$ t\,\in\,[0,7] !$,
onde t = 0 significa o início do primeiro dia, t =1 significa o início do segundo dia, e assim sucessivamente. Os valores da função W(t) representam valor do fluxo de energia em MW (megawatts) recebida das usinas ao longo do tempo, mas com a seguinte característica: se W(to)> 0 significa que a energia veio da usina A no momento t0 e na quantidade W(t0)). Sabe-se também que W(-1) = W(2,8) = W(6,5) = 0.
Com base nessas informações, julgue o item seguinte.
Do início do 3.º dia até o início do 6.º dia, o fluxo de energia veio exclusivamente da usina B.
Provas
Um estudo verificou que existe a seguinte relação entre custo de manutenção (variável X), custo de distribuição (variável Y) e valor total de revenda (variável Z), dada pela equação
!$ 9X -5Y + Z =0 !$
Sabendo que o conjunto S de todas as soluções !$ ( X,Y, Z) !$ com coordenadas reais dessa equação é um subespaço vetorial do espaço euclidiano !$ \mathbb{R}^3 !$ , e considerando o produto escalar usual de !$ \mathbb{R}^3 !$ (isto é, !$ < (a,b,c), (d,e,f) > = ad + be + cf !$), julgue o item que se segue.
Provas
Disciplina: TI - Desenvolvimento de Sistemas
Banca: CESPE / CEBRASPE
Orgão: Petrobrás
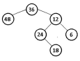
Acerca dos Algoritmos e Estrutura de Dados, julgue o item seguinte.
Considerando a árvore binária da figura abaixo, o resultado das consultas dos nós dessa árvore a em pré- ordem é: 18, 24, 6, 12, 48, 36.

Provas
Caderno Container