Foram encontradas 577 questões.
- Gestão de PessoasGrupos e Equipes de TrabalhoComportamento Organizacional e Trabalho em Equipe
- Gestão Estratégica
Provas
Disciplina: Administração Financeira e Orçamentária
Banca: UFPR
Orgão: Itaipu
Segundo a lei orçamentária anual, considere as seguintes afirmativas:
1. Um orçamento, em contabilidade e finanças, é a expressão das receitas e despesas de um indivíduo, organização ou governo relativamente a um período de execução (ou exercício) determinado, geralmente anual, mas que também pode ser mensal, trimestral, plurianual etc.
2. No Brasil, a partir da promulgação da Constituição Federal de 1988, o Poder Legislativo possui a competência de iniciar as leis que estabelecerão o Plano Plurianual, as Leis de Diretrizes Orçamentárias e o orçamento.
3. Os orçamentos anuais podem ser divididos em Despesas, Receitas, Investimentos e Caixa, este último também conhecido pelo nome de Fluxo de Caixa Projetado.
4. No Brasil, o ano subsequente ao da aprovação regular do Orçamento Anual (chamado de Orçamento-Programa) é denominado de exercício ou exercício financeiro. Assim, pode-se definir o exercício como o ano em que há a execução orçamentária.
Assinale a alternativa correta.
Provas
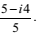
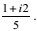
Assinale a alternativa que apresenta um número complexo equivalente ao número
.
Provas
Provas
Provas
Provas
Provas

Sobre alguns vocábulos e expressões do texto, considere as seguintes afirmativas:
1. Se o vocábulo “ainda” (linha 11) fosse deslocado para após “os jornais” (linha 11), haveria mudança do sentido básico da sentença.
2. A expressão “está agora a tentar gerir” (linha 2) tem como equivalente, no português brasileiro, “tenta gerir, no momento”.
3. O conteúdo relacionado pelos vocábulos “quando” (linha 8) e “já” (linha 9) implica julgamentos apressados feitos pelas pessoas.
Assinale a alternativa correta.
Provas
Leia a tira e considere as afirmativas a seguir.

1. Os conteúdos dos balões do 2º e do 3º quadrinhos apresentam similaridade em relação à atitude demonstrada no último quadrinho.
2. A expressão “fulano” reporta a uma indeterminação que é coerente com o modo de interação representado na tira.
3. Os verbos “adicionou”, “curtiu” e “comentou” estão em relação de convergência se considerada a referência “Facebook”.
4. O descompasso entre o plano real e o virtual encontra-se sintetizado na contradição representada pelos verbos “adicionou” e “ignorou”.
Assinale a alternativa correta.
Provas

Provas
Caderno Container