Foram encontradas 425 questões.
Assinale a alternativa correta quanto à concordância nominal.
Provas
Questão presente nas seguintes provas
Assinale a alternativa correta.
Provas
Questão presente nas seguintes provas
No que diz respeito à organização de arquivos, é correto afirmar que as atividades de armazenamento de documentos e informações,
Provas
Questão presente nas seguintes provas
Nas últimas duas décadas, o Brasil se notabilizou no cenário econômico mundial por incrementar sensivelmente seu comércio internacional. Todo tipo de bens de consumo é trazido do exterior e muitos produtos brasileiros são levados para outros países.
EVOLUÇÃO DAS IMPORTAÇÕES E EXPORTAÇÕES
Em US$ bilhões

(Folha de S.Paulo, 02.04.2010)
Analisando o gráfico, é possível dizer que entre março de 2009 e março de 2010 as
Provas
Questão presente nas seguintes provas
1348854
Ano: 2010
Disciplina: Administração de Recursos Materiais
Banca: VUNESP
Orgão: CREA-SP
Disciplina: Administração de Recursos Materiais
Banca: VUNESP
Orgão: CREA-SP
Provas:
Os corredores dentro do almoxarifado deverão
Provas
Questão presente nas seguintes provas
A receita orçamentária passa pelos estágios: previsão, lançamento, arrecadação e recolhimento. Lançamento é
Provas
Questão presente nas seguintes provas
Autarquias são entes administrativos autônomos, criados por lei específica, com personalidade jurídica de Direito Público interno, patrimônio próprio e atribuições estatais específicas.
Nesse sentido, é correto afirmar que:
Provas
Questão presente nas seguintes provas
É uma modalidade de licitação prevista em lei:
Provas
Questão presente nas seguintes provas
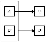
Considere o seguinte diagrama de dependências funcionais, originado da tabela T de um Banco de Dados Relacional.

Supondo que não haja atributos multivalorados, o maior grau de normalização em que se encontra a tabela T é a
Provas
Questão presente nas seguintes provas
1348611
Ano: 2010
Disciplina: Segurança e Saúde no Trabalho (SST)
Banca: VUNESP
Orgão: CREA-SP
Disciplina: Segurança e Saúde no Trabalho (SST)
Banca: VUNESP
Orgão: CREA-SP
Provas:
Ao tratar das Atividades ou Operações Insalubres, a Norma Regulamentadora 15 estabelece que
Provas
Questão presente nas seguintes provas
Cadernos
Caderno Container