Foram encontradas 1.080 questões.
- Auditoria InternaNormas de Execução dos Trabalhos de Auditoria InternaProcedimentos da Auditoria Interna
Os procedimentos da Auditoria Interna constituem exames e investigações, incluindo testes de observância e testes substantivos, que permitem ao auditor interno obter subsídios suficientes para fundamentar suas conclusões e recomendações à administração da entidade (NBC TI 01 – Da Auditoria Interna). Quanto aos procedimentos testes e amostragem em auditoria, é CORRETO o que se afirma em:
Provas
O planejamento do trabalho da Auditoria Interna compreende os exames preliminares das áreas, atividades, produtos e processos, para definir a amplitude e a época do trabalho a ser realizado, de acordo com as diretrizes estabelecidas pela administração da entidade (NBC TI 01 – Da Auditoria Interna). Sobre o tema, avalie aas afirmativas a seguir:
I. O conhecimento detalhado da política e dos instrumentos de gestão de riscos da entidade.
II. O conhecimento detalhado das atividades operacionais e dos sistemas contábil e de controles internos, e seu grau de confiabilidade da entidade.
III. O uso do trabalho de especialistas.
IV. Os riscos de auditoria, quer pelo volume ou pela complexidade das transações e operações.
É CORRETO o que se afirma em:
Provas
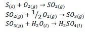
O ácido sulfúrico desempenha um papel fundamental na indústria química, sendo amplamente utilizado na produção de uma variedade de produtos, desde fertilizantes até produtos químicos para limpeza. A síntese do ácido sulfúrico ocorre por meio do processo de contato, no qual o dióxido de enxofre (SO2) é oxidado a trióxido de enxofre (SO3) na presença de um catalisador de óxido de vanádio. O trióxido de enxofre é então dissolvido em água para formar o ácido sulfúrico concentrado. Esse processo é essencial para atender à demanda industrial crescente por ácido sulfúrico, garantindo a produção eficiente e sustentável desse composto químico fundamental. Observe as reações abaixo que já estão estequiometricamente balanceadas.

Dados: H: 1 u, O: 16 u, S: 32 u.
Determine a quantidade de enxofre (S) necessária para produzir 1000 gramas de ácido sulfúrico (H2SO4), assumindo uma eficiência de reação de 100%. Assinale a alternativa CORRETA da massa de enxofre.
Provas
O Código de Conduta da Celesc foi elaborado sob os princípios do respeito às leis, integridade, sustentabilidade, confidencialidade, transparência e isenção político-partidária, estando totalmente harmonizado às modernas práticas de compliance. No contexto do seu código, a Celesc impõe a seus dirigentes vedações éticas. Assinale a alternativa que NÃO representa uma proibição ao corpo diretivo da Celesc.
Provas
Disciplina: Legislação Específica das Agências Reguladoras
Banca: ACAFE
Orgão: CELESC
De acordo com o Manual de Contabilidade do Setor Elétrico emitido pela Aneel existem particularidades entre a contabilidade regulatória e a contabilidade societária, que são tratadas nas Instruções Gerais - IG, Instruções Contábeis - IC e Técnicas de Funcionamento. Entre as principais adaptações apresentadas no Manual, em relação aos CPCs - Comitês de Pronunciamentos Contábeis, avalie as afirmativas a seguir, e assinale V para as verdadeiras e F para as falsas.
( ) CPC 26 - Apresentação das demonstrações financeiras - este CPC estabelece a necessidade de segregação entre custos e despesas dos gastos alocados no resultado do exercício, segregação esta não requerida no Manual de Contabilidade do Setor Elétrico.
( ) CPC 27 - Imobilizado - este CPC estabelece que o valor residual e a vida útil de um ativo são revisados pelo menos ao final de cada exercício e, se as expectativas diferirem das estimativas anteriores, a mudança deve ser contabilizada como mudança de estimativa contábil. Entretanto, no âmbito regulatório, quem é competente para definir a vida útil e a taxa de depreciação dos bens é o Órgão Regulador, não cabendo à empresa realizar a revisão mencionada no CPC 27.
( ) As Outorgadas, as quais possuem revisão tarifária, deverão registrar, contabilmente, para fins regulatórios, a reavaliação regulatória compulsória valorada, com base no Valor Novo de Reposição (VNR).
( ) CPC 06 (R2) - Arrendamentos - a aplicação deste CPC deverá se restringir aos bens administrativos, ou seja, aqueles que não estão diretamente vinculados às instalações de energia elétrica das atividades de geração, transmissão e distribuição de energia elétrica. Possíveis mudanças de práticas societárias, decorrentes da aplicação dessa norma, em virtude de alguma excepcionalidade, principalmente quanto ao arrendamento mercantil financeiro, deverão ser comunicadas previamente ao Órgão Regulador.
A sequência CORRETA, de cima para baixo, é:
Provas
A calibração de equipamentos de laboratório é de extrema importância para garantir a confiabilidade e precisão dos resultados obtidos em análises químicas e experimentos científicos. Dessa forma, uma equipe de laboratório está realizando a calibração de uma balança analítica e de um espectrofotômetro UV-vis para garantir resultados precisos em suas análises. Durante o processo de calibração, qual das seguintes alternativas descreve corretamente uma etapa comum para ambos os equipamentos?
Assinale a alternativa CORRETA.
Provas
Disciplina: Legislação Específica das Agências Reguladoras
Banca: ACAFE
Orgão: CELESC
Das alternativas a seguir, assinale aquela que NÃO apresenta um objetivo do Manual de Contabilidade do Setor Elétrico.
Provas
- Química InorgânicaSoluções e Substâncias InorgânicasSoluções: características, tipos de concentração, diluição, mistura, titulação e soluções coloidais
O vinagre é o produto resultante da fermentação de certas bebidas alcoólicas, particularmente do vinho. Na fermentação do vinho, micro-organismos da espécie Micoderma aceti transformam o álcool etílico em ácido acético. Após a fermentação, o vinho fica com cerca de 4 a 6 % de ácido acético, recebendo então o nome de vinagre (vinho azedo). O teor de ácido acético no vinagre é determinado volumetricamente titulando-se certa quantidade de vinagre com uma solução padrão de hidróxido de sódio (NaOH) 0,1 M. Suponha que em um Erlenmeyer de 100 mL se adicionou 2 mL de uma amostra de vinagre e após o processo de titulação, feito em triplicata, foram gastos os seguintes volumes de NaOH, V1: 16,7 mL; V2: 16,6 mL; V3: 16,8 mL.
% acidez em ácido acético: (\( V \)\( m \)\( x \)\( M \)\( x \)100\( x \)0,06)/\( A \); onde Vm é o volume médio gasto de NaOH em mL, M é a molaridade do NaOH em mol/L e A é o volume de amostra em mL.
A respeito do tema, julgue as afirmativas abaixo indicando V para verdadeiro e F para falso.
( ) A fenolftaleína é utilizada como indicador, indicando o final da reação, quando todo o ácido presente for neutralizado pelo hidróxido de sódio.
( ) O hidróxido de sódio é o agente titulante, o qual neutraliza o ácido presente na amostra em análise.
( ) O hidróxido de sódio 0,1 M deverá ser manipulado na capela de exaustão por conta de sua volatilidade.
( ) Ao final do processo de titulação o conteúdo do Erlenmeyer deve ser descartado em bombona de inorgânico halogenado.
( ) Após a titulação do vinagre foi obtido um teor de acidez em ácido acético de 5%.
Qual das seguintes alternativas apresenta a sequência CORRETA?
Provas
Em 18 de março de 2022, a diretoria executiva da Cia Alfa autoriza a emissão de demonstrações contábeis para o seu conselho. O conselho aprova as demonstrações contábeis em 26 de março de 2022. As demonstrações contábeis são disponibilizadas aos acionistas e a outras partes interessadas em 31 de março de 2022. Os acionistas aprovam as demonstrações contábeis na sua reunião anual em 30 de abril de 2022, e as demonstrações contábeis são encaminhadas para registro no órgão competente em 17 de maio de 2022. Em 28 de fevereiro de 2022, a entidade descobre um erro que mostra que as demonstrações contábeis estavam incorretas.
Com base no exposto, e aplicando o CPC 24 – Eventos Subsequentes - a entidade deve:
Provas
A química medicinal desempenha um papel crucial no desenvolvimento de fármacos, e a relação entre o paracetamol e a fenilalanina exemplifica a importância dessa disciplina. O paracetamol (estrutura 1), um dos analgésicos e antitérmicos mais amplamente utilizados, é metabolizado no fígado, onde parte dele é convertido em um composto tóxico. Esse composto é normalmente conjugado com o aminoácido fenilalanina (estrutura 2) por meio de uma reação enzimática, formando um conjugado inofensivo que é excretado pela urina.

Em relação à química do paracetamol e fenilalanina, assinale a alternativa CORRETA.
Provas
Caderno Container