Magna Concursos

Foram encontradas 1.080 questões.

3451388 Ano: 2024
Disciplina: Contabilidade Geral
Banca: ACAFE
Orgão: CELESC
Provas:

De acordo com o CPC 04 – Ativo intangível – classifique em VERDADEIRO ou FALSO as afirmativas abaixo.

( ) Ativo intangível é um ativo não monetário identificável sem substância física.

( ) Alguns ativos intangíveis podem estar contidos em elementos que possuem substância física.

( ) Direitos detidos por arrendatário, por meio de contratos de licenciamento para itens como filmes cinematográficos, gravações em vídeo, peças, manuscritos, patentes e direitos autorais, são considerados ativos intangíveis.

( ) Pesquisa é a investigação original e planejada, realizada com a expectativa de adquirir novo conhecimento e entendimento científico ou técnico.

A sequência CORRETA, de cima para baixo, é:

 

Provas

Questão presente nas seguintes provas
3451387 Ano: 2024
Disciplina: Contabilidade Geral
Banca: ACAFE
Orgão: CELESC
Provas:

Com base na demonstração abaixo, assinale a opção CORRETA, que apresenta, respectivamente, liquidez corrente, liquidez seca, liquidez imediata e liquidez geral.

Balanço Patrimonial (em reais)

ATIVO

Cia Gama

PASSIVO

Cia Gama

Ativo Circulante

530.000,00

Passivo Circulante

160.000,00

Caixa e Equivalentes

80.000,00

Fornecedores

100.000,00

Clientes

200.000,00

Tributos a Pagar

50.000,00

Estoques

250.000,00

Empréstimos

0,00

Dividendos a Pagar

10.000,00

Ativo Não Circulante

100.000,00

Passivo Não Circulante

200.000,00

Ativo Realizável a Longo Prazo

0,00

Investimentos

0,00

Empréstimos

200.000,00

Imobilizado

100.000,00

Patrimônio Líquido

270.000,00

Terrenos

100.000,00

Capital Social

200.000,00

Máquinas

0,00

Reserva de Lucros

70.000,00

Depreciação

0,00

Total do Ativo

630.000,00

Total do Passivo

630.000,00

 

Provas

Questão presente nas seguintes provas
3451386 Ano: 2024
Disciplina: Química
Banca: ACAFE
Orgão: CELESC

É frequente a confusão que as pessoas fazem com relação ao conceito de massa específica e densidade, justamente pela similaridade conceitual entre essas duas grandezas físicas. Essa confusão pode ser justificada, em muitas das vezes, pela unidade de ambas essas grandezas serem as mesmas.

Qual das seguintes afirmações é CORRETA em relação aos conceitos de densidade e massa específica?

 

Provas

Questão presente nas seguintes provas
3451385 Ano: 2024
Disciplina: Contabilidade Geral
Banca: ACAFE
Orgão: CELESC
Provas:

Análise os indicadores apresentados abaixo.

Índices

Cia Alfa

Cia Beta

Retorno sobre PL

0,36

0,29

Retorno sobre Ativo Total

0,10

0,14

Liquidez Imediata

0,31

1,08

Liquidez Seca

1,56

1,50

Liquidez Corrente

2,50

1,80

Margem Líquida

0,25

0,38

Assinale a opção CORRETA.

 

Provas

Questão presente nas seguintes provas
3451384 Ano: 2024
Disciplina: Química
Banca: ACAFE
Orgão: CELESC

As forças intermoleculares desempenham um papel crucial na determinação das propriedades físicas das substâncias. Essas forças afetam características como ponto de ebulição, ponto de fusão, solubilidade e tensão superficial. Além disso, as forças intermoleculares também influenciam a capacidade de dissolução de uma substância em um solvente. Sobre essas forças e suas influências nas propriedades, correlacione as substâncias da coluna I com os tipos de forças intermoleculares da coluna II.

Coluna I

I I2

II HF

III HCl

Coluna II

( ) Ligação de Hidrogênio

( ) Força de dispersão de London

( ) Dipolo-Dipolo

Assinale a alternativa com a sequência CORRETA.

 

Provas

Questão presente nas seguintes provas
3451383 Ano: 2024
Disciplina: Contabilidade Geral
Banca: ACAFE
Orgão: CELESC
Provas:

A Companhia Gama apresenta os seguintes indicadores:

Liquidez Corrente

2,5

Ativo Não Circulante

100.000,00

Endividamento Geral

0,72

Retorno sobre Ativo Total

0,10

Passivo Total (PC + PNC)

360.000,00

Lucro

50.000,00

De posse dessas informações, assinale a alternativa CORRETA que represente, respectivamente, o Ativo Total, o Ativo Circulante, o Passivo Circulante e o Passivo Não Circulante.

 

Provas

Questão presente nas seguintes provas
3451382 Ano: 2024
Disciplina: Química
Banca: ACAFE
Orgão: CELESC

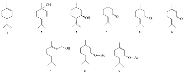
A citronela, conhecida por seu aroma cítrico e propriedades repelentes, tem sido amplamente estudada em relação ao combate à dengue. O óleo essencial de citronela, extraído de plantas como a Cymbopogon nardus e Cymbopogon winterianus, é reconhecido por sua eficácia na repelência de insetos, incluindo o Aedes aegypti, mosquito transmissor da dengue. O óleo extraído pode conter frações das estruturas abaixo.

Enunciado 3982252-1

Sobre as estruturas demonstradas acima analise as afirmativas e assinale a CORRETA.

 

Provas

Questão presente nas seguintes provas
3451381 Ano: 2024
Disciplina: Contabilidade Geral
Banca: ACAFE
Orgão: CELESC
Provas:

Nos termos do CPC 16 – Estoques, aponte o item que NÃO faz parte do rol de exemplos de itens não incluídos no custo dos estoques e reconhecidos como despesa do período em que são incorridos:

 

Provas

Questão presente nas seguintes provas
3451380 Ano: 2024
Disciplina: Química
Banca: ACAFE
Orgão: CELESC

É frequente o uso de açúcar (sacarose, C12H22O11) como ingrediente em sucos, refrigerantes, chás e muitos outros produtos, a fim de adoçar e, consequentemente, tornar seu sabor mais atrativo e agradável. Porém, é importante saber que o seu consumo em excesso pode estar associado a diversos problemas de saúde, como a obesidade, diabetes e doenças cardiovasculares. Suponha que o rótulo de um chá gelado (250 mL), de uma determinada marca, mostra em seus ingredientes que há 2 g de sacarose. O cliente, não muito satisfeito com o sabor doce, resolveu adicionar 20 mL de água em seu copo que já continha 80 mL do chá comercial. Diante do exposto, calcule a concentração em mol/L de sacarose no chá gelado comercial e a concentração em g/L de sacarose no seu copo após adição de água.

Dados: C: 12 u, H: 1 u, O: 16 u.

Assinale a afirmativa CORRETA que apresenta a concentração em mol/L de sacarose no chá gelado comercial e a concentração em g/L de sacarose no copo do cliente, respectivamente.

 

Provas

Questão presente nas seguintes provas
3451379 Ano: 2024
Disciplina: Contabilidade Geral
Banca: ACAFE
Orgão: CELESC
Provas:

As demonstrações contábeis da Companhia Nasac apresentam as seguintes configurações nos exercícios findos em 31/12/2022 e 31/12/2023:

Balanço Patrimonial (em reais)

ATIVO

31/12/2022

31/12/2023

PASSIVO

31/12/2022

31/12/2023

Ativo Circulante

400.000,00

478.000,00

Passivo Circulante

160.000,00

265.625,00

Caixa e Equivalentes

50.000,00

288.000,00

Fornecedores

100.000,00

150.000,00

Clientes

200.000,00

110.000,00

Tributos a Pagar

50.000,00

37.500,00

Estoques

150.000,00

80.000,00

Empréstimos

0,00

50.000,00

Dividendos a Pagar

10.000,00

28.125,00

Ativo Não Circulante

100.000,00

222.000,00

Passivo Não Circulante

200.000,00

150.000,00

Ativo Realizável a Longo Prazo

0,00

17.000,00

Investimentos

0,00

17.000,00

Empréstimos

200.000,00

150.000,00

Imobilizado

100.000,00

205.000,00

Patrimônio Líquido

140.000,00

284.375,00

Terrenos

100.000,00

160.000,00

Capital Social

100.000,00

160.000,00

Máquinas

0,00

50.000,00

Reserva de Lucros

40.000,00

124.375,00

Depreciação

0,00

-5.000,00

Total do Ativo

500.000,00

700.000,00

Total do Passivo

500.000,00

700.000,00

Demonstração de Resultado (em reais)

31/12/2022

31/12/2023

Receita Líquida de Vendas

200.000,00

300.000,00

Custo das Mercadorias Vendidas

100.000,00

120.000,00

Lucro Bruto

100.000,00

180.000,00

Despesas Operacionais

20.000,00

25.000,00

Salários

10.000,00

10.000,00

Aluguéis

5.000,00

10.000,00

Depreciação

5.000,00

5.000,00

Outras Receitas Operacionais

0,00

2.000,00

Resultado Equivalência Patrimonial de Investimentos

0,00

2.000,00

Lucro Antes do Resultado Financeiro

80.000,00

157.000,00

Despesa financeira

10.000,00

7.000,00

Lucro antes do IR e CSLL

70.000,00

150.000,00

IR e CSLL

20.000,00

37.500,00

Lucro Líquido

50.000,00

112.500,00

Informações adicionais:

1) As máquinas foram adquiridas à vista.

2) Aumento de capital Social com aquisição de um terreno.

3) Os investimentos adquiridos foram à vista.

4) A Cia Nasac classifica os dividendos pagos como o CPC 03 encoraja já os juros pagos são classificados de maneira alternativa.

Com base nas informações apresentadas, o Fluxo de Caixa das atividades de investimento da Companhia Nasac, calculado seguindo as orientações do CPC 03, no exercício de 2023, foi de:

 

Provas

Questão presente nas seguintes provas