Foram encontradas 238 questões.
Disciplina: Atualidades e Conhecimentos Gerais
Banca: Verbena
Orgão: Câm. Morrinhos-GO
Provas
Leia o texto a seguir.
Em 24 de outubro de 1933 ocorreu o lançamento da pedra fundamental de Goiânia, no lugar onde hoje se encontra o Palácio das Esmeraldas. No mesmo ano começou o processo de reconstitucionalização do país, que se iniciava com a criação dos partidos políticos.
SOUZA, Rildo Bento de. A onça e o jequitibá: o processo de construção mítica de Pedro Ludovico Teixeira. In: MORAES, C. de C. P.; SOUZA, R. B. de; RABELO, D. (orgs). Novas trajetórias e compartilhamentos sobre a história de Goiás [Ebook]. Goiânia: Cegraf UFG, 2023, p. 318.
No estado de Goiás, um personagem da política local participou ativamente do processo mencionado na citação e foi eleito governador nesse período. Trata-se de
Provas
- Direito Internacional dos Direitos HumanosDireitos humanos, direito humanitário e direito dos refugiados
Provas
Leia o texto a seguir.
Na obra médica de Susruta, renomado médico e cirurgião da Índia antiga, escrita cerca de seis séculos antes da era cristã, encontramos um estudo sobre as combinações de sabores de medicamentos. Segundo o médico, os seis sabores - amargo, azedo, salgado, adstringente, doce e picante - tomados sozinhos, ou seja, em grupos de um, tomados em duplas, em trios, e assim por diante até agrupar todos ao mesmo tempo, formam exatamente 63 combinações diferentes, ou seja, sabores de medicamentos distintos.
CHAKRAVARTI, Gurugovinda. Growth and Development of Permutations and Combinations in India. Bulletin of Calcutta Mathematical Society, 24 (1932), 79–88. [Adaptado].
Considerando A e C, respectivamente, os símbolos matemáticos para arranjo simples e combinação simples, a expressão a partir da qual obtém-se o mesmo resultado a que chegou Susruta é
Provas
Com o intuito de estimar a capacidade de combustível do tanque de seu veículo, um motorista usou a seguinte estratégia: durante três dias, quando o painel do veículo sinalizou que o nível de combustível havia atingido a faixa de reserva do tanque, restando apenas 10 L de combustível, ele abasteceu completamente o tanque e anotou a quantidade abastecida, como mostra a tabela a seguir.

Com esses dados, ele calculou o desvio absoluto médio da quantidade abastecida e, com isso, estimou a quantidade de combustível que o tanque do veículo comporta. Considerando o desvio absoluto médio calculado, a quantidade de combustível comportada é um valor entre
Provas
Provas
- FundamentosSolução de Problemas
- ÁlgebraEquações de Segundo Grau
- FunçõesFunção de 2º Grau (Quadrática)
Provas
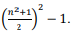
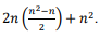
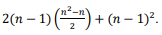
13 + 23 + 33 + . . . + 103 = (1 + 2 + 3 + . . . + 10)2
Para fazer a prova, ele usou um quadrado ABCD, como na figura, com medida do lado igual à soma: (1 + 2 + 3 + . . . + 10). Dentro dele, configurou os quadrados menores: o primeiro (AB1C1D1), com lado igual a 1, o segundo (AB2C2D2), com lado igual a (1+2), e assim por diante, até o quadrado AB9C9D9. Assim, para calcular a área de ABCD, ele completou o quadrado AB9C9D9 com a área do gnômon*, o polígono B9C9D9DCB, destacado na figura. Desse modo, em um processo muito parecido com a indução matemática, ele provou a expressão anterior.
*gnômon: uma figura que, quando adicionada a um quadrado ou retângulo, forma um quadrado maior.
KATZ, Victor J. A history of mathematics: An introduction. 3.ed. Person Education: Chicago, 1998. [Adaptado].
Com base nessas informações, considere um processo similar ao realizado por Al-Karajī, porém, a partir de um quadrado com lado medindo: 1 + 2 + 3 + . . . +(n − 1) + n, com n ∈ N, n > 1. Nesse caso, a expressão que representa a área do gnômon é dada por
Provas
Leia o Texto 3 para responder à questão.
Texto 3

Disponível em: <https://www.colatina.es.gov.br>. Acesso em: 17 dez. 2024. [Adaptado].
Provas
Leia o Texto 3 para responder à questão.
Texto 3

Disponível em: <https://www.colatina.es.gov.br>. Acesso em: 17 dez. 2024. [Adaptado].
Provas
Caderno Container