Foram encontradas 694 questões.
Provas
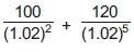
Se a taxa de juros compostos for de 2% a.m., o valor presente líquido de dois pagamentos futuros, em 2 meses e em 5 meses, com os valores respectivos de R$ 100,00 e R$ 120,00, deve ser calculado pela seguinte fórmula:
Provas
Certo distribuidor, ao comercializar um novo aditivo, assegura que este faz reduzir o consumo de combustível. Com o objetivo de testar tal afirmação, selecionou-se uma amostra aleatória de 36 carros de diversos modelos, que fizeram o mesmo percurso, nas mesmas condições, com o combustível sem aditivo e depois, com aditivo. A média da diferença entre o consumo (sem aditivo menos com aditivo) fornecido pela amostra foi de 0,2 litros e desvio padrão amostral de 0,01 litros de combustível. Como o p-valor desse teste é aproximadamente 0,10%, nos níveis de 1%, 5% e 10% de significância, respectivamente, conclui-se que o novo aditivo
Provas
Em um determinado município, 20% de todos os postos de gasolina testados quanto à qualidade do combustível apontaram o uso de combustíveis adulterados. Ao serem testados, 99% de todos os postos desse município que adulteraram combustível foram reprovados, mas 15% dos que não adulteraram também foram reprovados, ou seja, apresentaram um resultado falso-positivo. A probabilidade de um posto reprovado ter efetivamente adulterado o combustível é, aproximadamente,
Provas

Provas
Disciplina: Legislação Específica das Agências Reguladoras
Banca: CESGRANRIO
Orgão: ANP
Segundo o Estatuto do Petróleo, a ANP tem como finalidade, além de outras, a fiscalização das atividades econômicas integrantes da indústria do petróleo, do gás natural e dos biocombustíveis. Nesse caso, pode-se afirmar que a ANP
I – fiscaliza, única e exclusivamente, as atividades integrantes da indústria do petróleo, do gás natural e dos biocombustíveis;
II – faz cumprir as boas práticas de conservação e uso racional do petróleo, gás natural, seus derivados e biocombustíveis e de preservação do meio ambiente;
III – aplica sanções administrativas e pecuniárias previstas em lei, regulamento ou contrato, no exercício da fiscalização direta, ou mediante convênios, das atividades da indústria do petróleo, do gás natural e dos biocombustíveis;
IV – fiscaliza o adequado funcionamento do Sistema Nacional de Estoques de Combustíveis e o cumprimento do Plano Anual de Estoques Estratégicos de Combustíveis.
Estão corretas as afirmações
Provas
Disciplina: Legislação Específica das Agências Reguladoras
Banca: CESGRANRIO
Orgão: ANP
Considerando o caráter interdisciplinar do direito aplicável aos atos de intermediação de trocas comerciais em petróleo no varejo, um dos temas mais polêmicos são os critérios (legislativos, doutrinários e jurisprudenciais) utilizados para diferenciar contratos de distribuição de contratos de representação.
Em relação aos contratos de distribuição, pode-se afirmar que:
I - os contratos de distribuição encerram várias operações de compra e venda de bens, destinados à revenda pelo distribuidor, sendo essas compras e vendas unificadas por uma identidade de causa (=função econômica);
II - a propriedade do bem passa do fabricante ao distribuidor e, posteriormente, ao terceiro adquirente, ou seja, o distribuidor vende um bem de sua propriedade e não realiza uma mera intermediação entre o fabricante e o distribuidor final (como ocorre na representação comercial);
III - o distribuidor comercializa os bens adquiridos do fabricante em uma determinada zona;
IV- entre o fabricante e distribuidor não há vinculação (ou mesmo subordinação) econômica.
Estão corretas APENAS as afirmações
Provas

Provas
Os princípios gerais informadores das políticas públicas em matéria de petróleo, que devem ser respeitados na interpretação e na aplicação da lei, têm fundamento da CRFB. Entre elas, há a tutela do processo de formação de preços públicos. Segundo o artigo 5º da chamada Lei do Petróleo, a exploração das atividades de pesquisa e lavra, refinação, importação e transporte marítimo pode ser objeto de concessão ou autorização a empresas da iniciativa privada, o que infunde no processo de formação (até então) tarifária, o lucro. Podem existir condutas, ao longo do processo produtivo, suscetíveis de constituir distorções no processo de formação de preço (impondo níveis de preço embutindo um lucro supra-normal) ou das condições de contratação (falseando a livre interação entre compradores e vendedores). Essas distorções, uma vez identificadas, são suscetíveis de prejudicar interesses de concorrentes, distribuidores, adquirentes e consumidores ao longo de toda a escala produtiva. Suponha o caso de distribuição de combustível no varejo, em que o agente ativo (posto de combustível) a ser inaugurado faça uso de propaganda em veículo de comunicação impressa para divulgar seu produto (informando apenas o preço) e combine acordo (provado mediante escuta telefônica com autorização judicial e comparativo de preços) entre concorrentes para fixar preço de revenda e vender combustível fora das especificações técnicas. Qual dispositivo estaria sendo violado no momento da veiculação da oferta?
Provas
Disciplina: Legislação Específica das Agências Reguladoras
Banca: CESGRANRIO
Orgão: ANP
O art. 20 da CRFB lista os bens da União. A titularidade da União sobre os recursos minerais, inclusive os do subsolo, é fixada no inciso IX. Além disso, o inciso V determina o domínio da União sobre os recursos naturais da plataforma continental e da zona econômica exclusiva. Não obstante, segundo o estabelecido no artigo 3º da Lei nº 9.478, de 6 de agosto de 1997 (Lei do Petróleo), que ratifica o preceito constitucional determinando que pertencem à União os depósitos de petróleo, gás natural e outros hidrocarbonetos fluidos existentes no território nacional, estabelece, também, que as atividades econômicas podem ser exercidas mediante concessão ou autorização. Pois bem, o poder concedente cabe à ANP, segundo determina o inciso IV do art. 8º da Lei nº 9.478/1997, o que deverá ocorrer mediante contrato administrativo de concessão. Observa-se, então, nesse particular, o problema da natureza dos atos prolatados pela ANP no cumprimento das competências previstas no inciso IV.
Considerando-se o texto e avaliando-se os atos da Agência em relação a atos administrativos vinculados e discriocionários, é INCORRETO afirmar que
Provas
Caderno Container