Foram encontradas 90 questões.
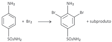
A reação do antibiótico sulfanilamida com halogênios leva à reação de substituição com o halogênio em duas posições distintas do anel aromático, como representado na equação não balanceada a seguir.

Em um experimento, 1 L de uma solução de sulfanilamida de pH 5 reagiu com Br2 em excesso, obtendo-se pH 4 após reação total. Considerando que o volume se manteve inalterado após a adição do halogênio, quantos mols de sulfanilamida reagiram com bromo?
Provas
A toxicidade do Pb e o risco de sua ingestão ganharam notoriedade na mídia devido à presença desse elemento em copos térmicos amplamente comercializados. A exposição ao Pb, no entanto, pode ocorrer também por fontes naturais, como a ingestão de água em contato prolongado com minérios como a anglesita, rico em PbSO4 (Kps = 1,0 × 10-8). Sabendo que a legislação estabelece a concentração máxima de Pb de 0,01 mg/L para água potável, assinale a alternativa correta em relação à ingestão de água que tenha contato prolongado com a anglesita.
Provas
TEXTO PARA A QUESTÃO.
Bem-vinda!
“Eram faíscas suas palavras que me queimavam em
doses homeopáticas
durante todas as noites…
Foram longos anos, dia após dia perdendo um pouco
mais minha autoestima,
abrindo mão das roupas que gostava, dos estudos, do
trabalho e das amigas
fazendo de tudo pra evitar brigas,
mas ele sempre dizia que a culpa era minha.
Até que um dia, me empurrou, me acuou
como se eu pudesse caber em qualquer fresta,
encurralada,
me mandou ficar calada e, com medo, obedeci.
Eu pedia desculpa toda vez depois de falar
como se fosse um defeito de nascença querer me
colocar.
A minha casa se tornou um ambiente tão hostil e eu,
prisioneira das minhas próprias ideias,
acreditando que o amor era isso, esse abismo, onde só
um fala e o outro, fica omisso.
Precisei tirar forças de lugares sagrados
pra me afastar e reagir, recolher meus pedaços.
Meus olhos encheram de mar, eu desaguei,
decidi não mais me calar, denunciei!
E depois do silêncio quebrado, meus pensamentos em
guerra cessaram,
recuperei o fôlego e ouvi meu coração sendo grato.
Encontrei em mim um porto seguro, entendi que meu
corpo é meu lar
e, no caminho até ele, escolho quem anda comigo e
quem convido pra entrar.
Hoje, quando olho pra dentro, vejo uma nova mulher
renascendo,
eu celebro sua chegada e contemplo essa nova vida.
Sem medo, abro a janela de casa
e, com olhar de quem há tanto tempo esperava,
te pego pela mão e digo:
Seja bem-vinda!”
Mel Duarte. Colmeia - Poemas Reunidos.
Assinale a alternativa que apresenta uma correspondência correta entre os versos destacados e os recursos utilizados para evidenciar a dor expressa no poema.
Provas
“Brasil, meu Brasil brasileiro
Meu mulato inzoneiro
Vou cantar-te nos meus versos
O Brasil, samba que dá
Bamboleio, que faz gingar
O Brasil do meu amor
Terra de Nosso Senhor
Brasil, pra mim
Ô, abre a cortina do passado
Tira a mãe preta do cerrado
Bota o Rei Congo no congado
Brasil, pra mim (...)
Ô! Esse coqueiro que dá coco
Onde eu amarro a minha rede
Nas noites claras de luar
Brasil, pra mim
Ô! Ouve essas fontes murmurantes
Onde eu mato a minha sede
E onde a lua vem brincar
Ô! Este Brasil lindo e trigueiro
É o meu Brasil, brasileiro
Terra de samba e pandeiro
Brasil, pra mim”
A canção Aquarela do Brasil foi composta por Ari Barroso e lançada no ano de 1939. Sua letra permite identificar temas que guardam afinidades com a política cultural do Estado Novo, podendo ser destacada a
Provas
“Aconteceu num debate, num país europeu. Da assistência alguém me lançou a seguinte pergunta:
- Para si, o que é ser africano?
Falava-se, inevitavelmente, de identidade versus globalização. Respondi com uma pergunta:
- E para si, o que é ser europeu?
O homem gaguejou. Não sabia responder. Mas o interessante é que, para ele, a questão da identidade se colocava naturalmente para os africanos. Não para os europeus. Ele nunca tinha colocado a questão no espelho.
Recordo o episódio porque me parece que ele toca uma questão central: quando se fala de África, de qual África estamos falando? Terá o continente africano uma essência facilmente capturável? Haverá uma substância exótica que os caçadores de identidades possam recolher como sendo a alma africana?”
COUTO, Mia. “Um retrato sem moldura”. In: HERNANDEZ, Leila Leite. A África na sala de aula: visita à história contemporânea. São Paulo: Selo Negro, 2008. p.11.
Ao relatar e comentar o episódio, o escritor moçambicano Mia Couto apresenta a África como
Provas
Consiste em uma faixa de terra semiárida e árida que contorna a borda sul do Deserto do Saara e percorre a extensão da África no sentido leste-oeste. Atua como um cinturão que divide o continente africano em dois, a África majoritariamente islâmica, ao norte, e a cristã, ao sul. Englobando ao menos onze países, a região é lar para dezenas de grupos étnicos.”
VAGEN, Tor-Gunnar; GUMBRICHT, Thomas. UNEP/ONU, 2012 (Adaptado).
O texto descreve características da região denominada de
Provas
Tecidos de Ijebu“Os ijebus vestem-se quase sempre com panos produzidos por eles próprios. São fazendas de algodão, matéria-prima que obtêm localmente. Nas famílias, as tarefas de colher algodão, fiá-lo, tecê-lo e tingi-lo estão costumeiramente a cargo das mulheres, e sabe-se ser muito grande a quantidade de tecidos manufaturados em Ijebu e dali exportados, não apenas para os países vizinhos, mas até mesmo para o Brasil, cujos navios vêm buscar em Lagos essa mercadoria tão apreciada pela gente de origem africana transplantada para aquela terra distante. As cores mais comuns, depois da branca e da azul, são a amarela, a vermelha, a carmesim e a verde. Alguns panos são de uma só cor, outros são multicoloridos.”
OSIFEKUNDE. Notícia sobre o país e o povo dos Ijebus. In: COSTA E SILVA, Alberto. Imagens da África. São Paulo: Penguin, 2012. p.361.
O texto é parte de um relato das memórias de um exescravizado natural de Ijebu, na atual Nigéria, trazido ao Brasil no início do século XIX. O excerto faz menção
Provas
No texto intitulado Tarsila, a pesquisadora Aracy Amaral transcreve um trecho das impressões de Tarsila do Amaral sobre a viagem às cidades históricas coloniais mineiras, que realizara em 1924 com o grupo modernista, liderado por Mário de Andrade: “(...) As decorações murais de um modesto corredor de hotel; o forro das salas, feito de taquarinhas coloridas e trançadas; as pinturas das igrejas, simples e comoventes, executadas com amor e devoção por artistas anônimos; o Aleijadinho, nas suas estátuas e nas linhas geniais da sua arquitetura religiosa, tudo era motivo para as nossas exclamações admirativas. Encontrei em Minas as cores que adorava em criança. Ensinaram-me depois que eram feias e caipiras. Segui o ramerrão do gosto apurado... Mas depois vinguei-me da opressão passando-as para as minhas telas: azul puríssimo, rosa violáceo, amarelo vivo, verde cantante, tudo em gradações mais ou menos fortes, conforme a mistura de branco. Pintura limpa, sobretudo, sem medo de cânones convencionais. Liberdade e sinceridade, uma certa estilização que a adaptava à época moderna.”
AMARAL, Tarsila, 1939. Apud AMARAL, Aracy. Tarsila, In: Tarsila do Amaral. São Paulo: Fundação Finambras, s.d, p.4.

Tarsila do Amaral, O mamoeiro, 1925, óleo s/ tela, 65,0 cm x 70,0 cm. Coleção Mário de Andrade - Instituto de Estudos Brasileiros da Universidade de São Paulo. Reprodução fotográfica: Rômulo Fialdini. Disponível em: https://enciclopedia.itaucultural.org.br/.
Considerando a obra O Mamoeiro, de Tarsila do Amaral, qual é o principal elemento que caracteriza a influência do movimento modernista brasileiro na pintura?
Provas
“Se a derrama for lançada,
há levante, com certeza.
Corre-se por essas ruas?
Corta-se alguma cabeça?
Do cimo de alguma escada, profere-se alguma arenga?
Que bandeira se desdobra?
Com que figura ou legenda?
Coisas da Maçonaria,
do Paganismo ou da Igreja?
A Santíssima Trindade?
Um gênio a quebrar algemas?
Atrás de portas fechadas,
à luz de velas acesas,
entre sigilo e espionagem,
acontece a Inconfidência.”
Os versos de Cecília Meireles, no Romanceiro da Inconfidência, remetem
Provas
Leia os trechos das obras Marília de Dirceu e Romanceiro da Inconfidência:
Lira VII (Parte II)
“Meu prezado Glauceste,
Se fazes o conceito
Que, bem que réu, abrigo
A cândida Virtude no meu peito;
Se julgas, digo, que mereço ainda
Da tua mão socorro;
Ah! Vem dar-mo agora,
Agora, sim, que morro!
Não quero que, montado
No Pégaso fogoso,
Venhas com dura lança
Ao monstro infame traspassar, raivoso.
Deixa que viva a pérfida calúnia,
E forje o meu tormento:
Com menos, meu Glauceste,
Com menos me contento.”
Tomás Antônio Gonzaga. Marília de Dirceu.
Romance LXVI ou De Outros Maldizentes
“- Que fica, na fortaleza,
daquele poeta Gonzaga?
- Um par de esporas, somente.
Um par de esporas de prata.
(...)
Dizem que tinha um cavalo
que Pégaso se chamava.
Não pisava neste mundo,
mas nos planaltos da Arcádia!”
Cecília Meireles. Romanceiro da Inconfidência.
Considerando o substantivo Pégaso, presente nos dois excertos, é correto afirmar:
Provas
Caderno Container